Fig. 3

Download original image
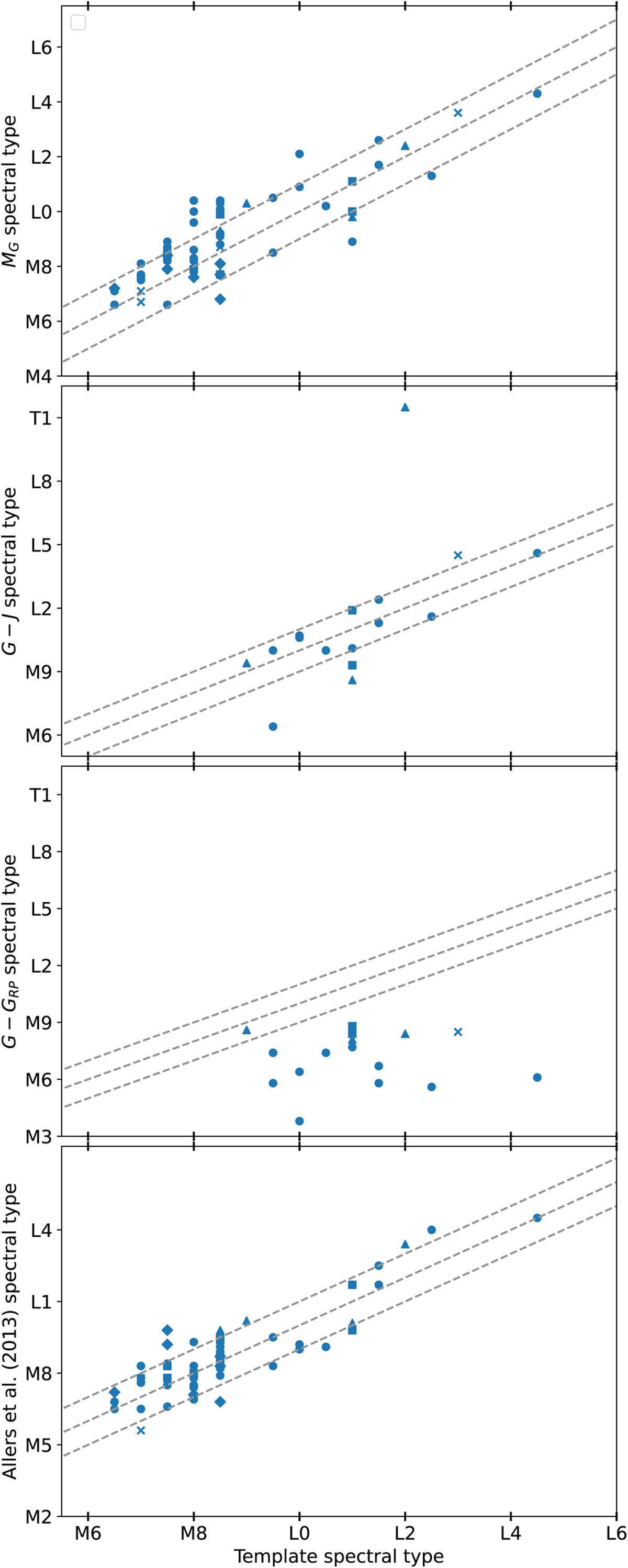
Comparison between the spectral types obtained with Reylé (2018) MG, G – J, G – GRP photometric spectral types (first, second, and third panels from top, respectively) and Allers & Liu (2013) spectral indices (bottom panel). Dashed lines show the identity lines plus/minus one spectral type. Symbols are the same as those used in Fig. 1.
Current usage metrics show cumulative count of Article Views (full-text article views including HTML views, PDF and ePub downloads, according to the available data) and Abstracts Views on Vision4Press platform.
Data correspond to usage on the plateform after 2015. The current usage metrics is available 48-96 hours after online publication and is updated daily on week days.
Initial download of the metrics may take a while.