Open Access
Fig. 3.

Download original image
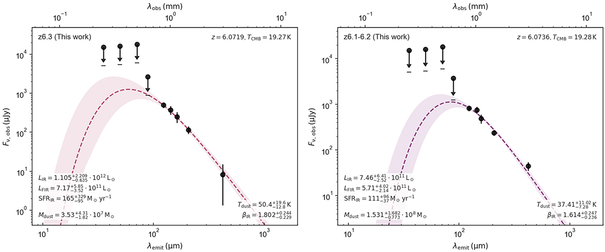
FIR SED modeling for z6.3 (left) and z6.1–6.2 (arc, right). Black circles and arrows indicate detections and 3σ upper limits on the observed photometry. The dashed line and shaded areas mark the best-fit model with MERCURIUS under the assumption of an optically thin emission.
Current usage metrics show cumulative count of Article Views (full-text article views including HTML views, PDF and ePub downloads, according to the available data) and Abstracts Views on Vision4Press platform.
Data correspond to usage on the plateform after 2015. The current usage metrics is available 48-96 hours after online publication and is updated daily on week days.
Initial download of the metrics may take a while.