Fig. 3.

Download original image
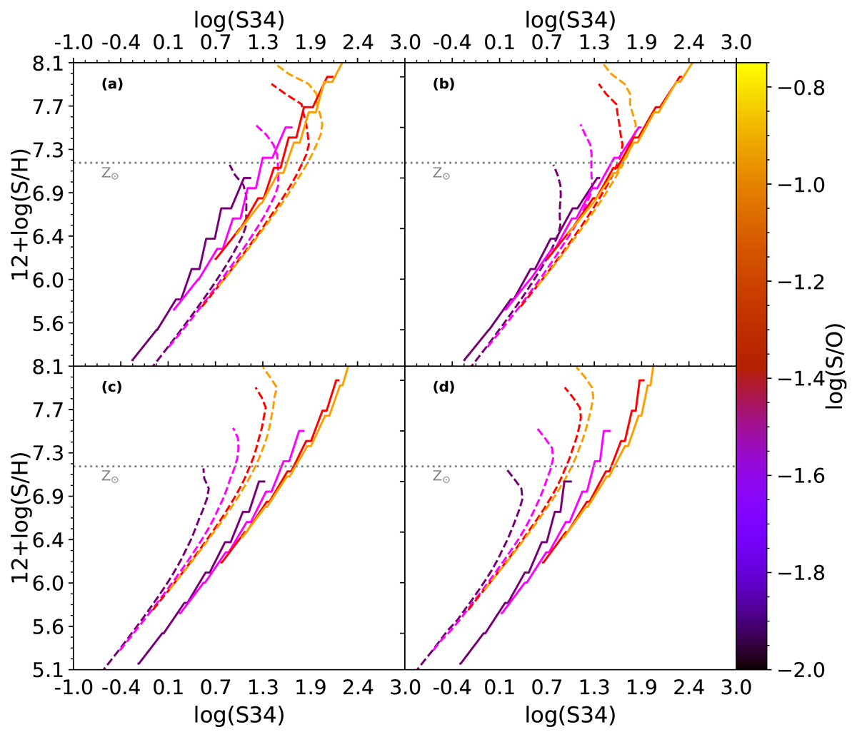
Performance of estimator S34 based on sulphur emission lines for models with S/O that is not fixed. Panel a shows models for a fixed value of the ionisation parameter log(U) = − 1.5, panel b shows models for log(U) = − 2.0, panel c models with log(U) = − 3.0, and panel d those with log(U) = − 3.5. Models are shown following the same notation as in Fig. 1.
Current usage metrics show cumulative count of Article Views (full-text article views including HTML views, PDF and ePub downloads, according to the available data) and Abstracts Views on Vision4Press platform.
Data correspond to usage on the plateform after 2015. The current usage metrics is available 48-96 hours after online publication and is updated daily on week days.
Initial download of the metrics may take a while.