Fig. 8.

Download original image
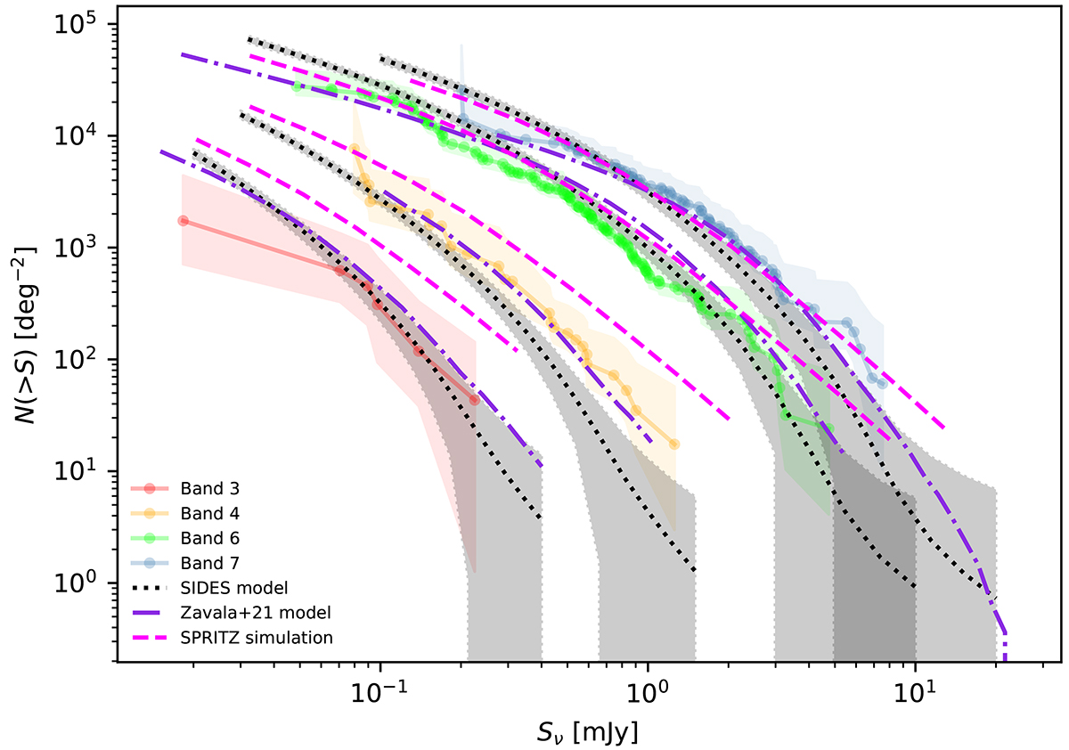
Cumulative number counts as shown in Fig. 7 in comparison with the models from Zavala et al. (2021), Bisigello et al. (2021; i.e. the SPRITZ simulation), and Gkogkou et al. (2023; i.e. the SIDES model). The shaded regions of the SIDES curves indicate one standard deviation due to cosmic variance for an area corresponding to our coverage in each band.
Current usage metrics show cumulative count of Article Views (full-text article views including HTML views, PDF and ePub downloads, according to the available data) and Abstracts Views on Vision4Press platform.
Data correspond to usage on the plateform after 2015. The current usage metrics is available 48-96 hours after online publication and is updated daily on week days.
Initial download of the metrics may take a while.