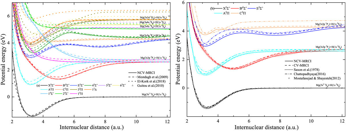
Fig. 1

Download original image
Potential energy curves. (a) Solid lines: NCV-MRCI results. Dashed lines: CV-MRCI results. Dotted lines: Mestdagh et al. (2009). Dashed-dotted lines: El-Kork et al. (2018). Triangles: Guitou et al. (2010). (b) Solid lines: NCV-MRCI results. Dashed lines: CV-MRCI results. Dotted lines: Saxon et al. (1978). Dashed-dotted lines: Chattopadhyaya (2016). Triangles: Mostafanejad & Shayesteh (2012).
Current usage metrics show cumulative count of Article Views (full-text article views including HTML views, PDF and ePub downloads, according to the available data) and Abstracts Views on Vision4Press platform.
Data correspond to usage on the plateform after 2015. The current usage metrics is available 48-96 hours after online publication and is updated daily on week days.
Initial download of the metrics may take a while.