Fig. 5.

Download original image
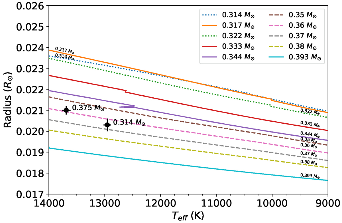
Stellar radius as a function of the effective temperature for He-core WD evolutionary sequences with stellar masses going from 0.317 to 0.393 M⊙. The solid lines represent evolutionary models from Istrate et al. (2016) for metallicity of Z = 0.02, dotted lines are Istrate et al. (2016) models for metallicity Z = 0.001 and the dashed lines are models from Althaus et al. (2013) for metallicity Z = 0.001. Both stars of the eclipsing system J2102−4145, are shown in black circles, with their respective radius and Teff values found in this work.
Current usage metrics show cumulative count of Article Views (full-text article views including HTML views, PDF and ePub downloads, according to the available data) and Abstracts Views on Vision4Press platform.
Data correspond to usage on the plateform after 2015. The current usage metrics is available 48-96 hours after online publication and is updated daily on week days.
Initial download of the metrics may take a while.