Fig. 1.

Download original image
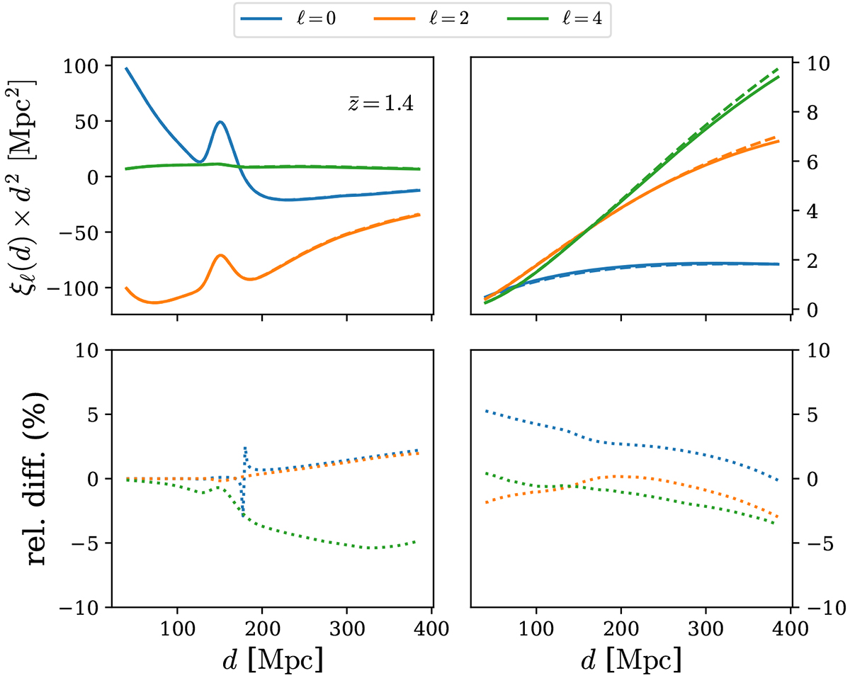
Impact of the flat-sky approximation on the multipoles of the 2PCF. Top: Curved-sky (solid) vs. flat-sky (dashed) multipoles, with contributions from standard terms (left) and from just lensing magnification (right). Lensing magnification is computed using the values of the local count slope given in Table 2, which are the fiducial values assumed in our analysis. Bottom: Their relative difference in percent, taking the curved-sky case as the reference value.
Current usage metrics show cumulative count of Article Views (full-text article views including HTML views, PDF and ePub downloads, according to the available data) and Abstracts Views on Vision4Press platform.
Data correspond to usage on the plateform after 2015. The current usage metrics is available 48-96 hours after online publication and is updated daily on week days.
Initial download of the metrics may take a while.