Open Access
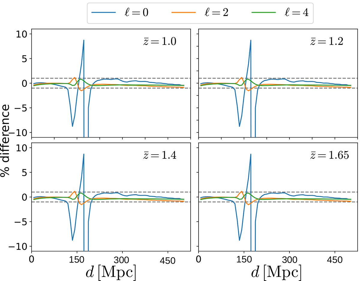
Fig. A.2.

Download original image
Percentage difference between coffe and CosmoBolognaLib in the first three even multipoles of the 2PCF, for various redshifts. The large ‘jump’ in the monopole around r ∼ 180 Mpc is caused by its passage through zero. The black dashed lines denote a 1% threshold.
Current usage metrics show cumulative count of Article Views (full-text article views including HTML views, PDF and ePub downloads, according to the available data) and Abstracts Views on Vision4Press platform.
Data correspond to usage on the plateform after 2015. The current usage metrics is available 48-96 hours after online publication and is updated daily on week days.
Initial download of the metrics may take a while.