Open Access
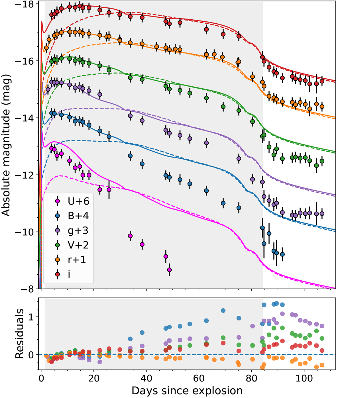
Fig. 20.

Download original image
Best-fitted multi-band LC SNEC models with CSM are shown with solid lines. The fits are performed with respect to Vri bands luminosity until tPT. The model without CSM is shown with dashed lines.
Current usage metrics show cumulative count of Article Views (full-text article views including HTML views, PDF and ePub downloads, according to the available data) and Abstracts Views on Vision4Press platform.
Data correspond to usage on the plateform after 2015. The current usage metrics is available 48-96 hours after online publication and is updated daily on week days.
Initial download of the metrics may take a while.