Fig. 10.

Download original image
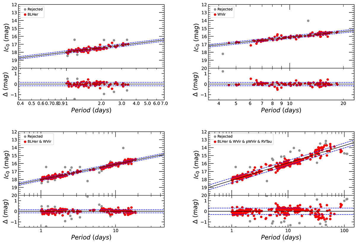
Examples of PL fitting in the I band for different combinations of T2Cs in the LMC (see labels in the figures). The red and grey filled circles are the data used for the fit and the outliers, respectively. The solid black line is the best fit to the data, while the dashed blue lines show the ±1σ levels. For every figure in the top panel are plotted the fits while in the bottom panel the residuals of the fit. The colours are the same as above. The fits for the other bands are in the Appendix C.
Current usage metrics show cumulative count of Article Views (full-text article views including HTML views, PDF and ePub downloads, according to the available data) and Abstracts Views on Vision4Press platform.
Data correspond to usage on the plateform after 2015. The current usage metrics is available 48-96 hours after online publication and is updated daily on week days.
Initial download of the metrics may take a while.