Open Access
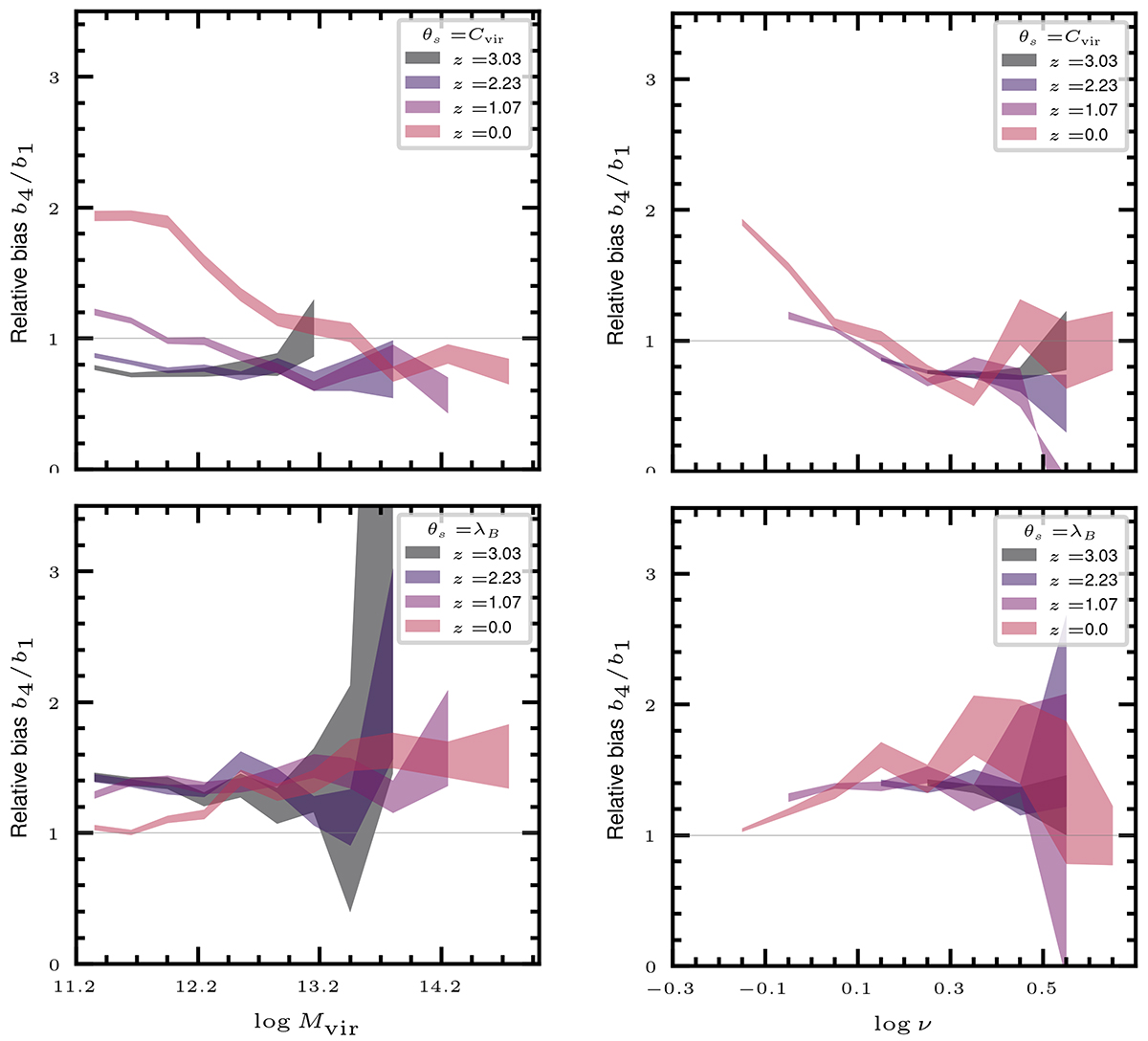
Fig. 18.

Download original image
Ratio between the halo bias as a function of the halo mass (left column) and peak height (right column) obtained in two different quartiles of halo concentration Cvir (top) and halo spin λB (bottom). The shaded area denotes the uncertainty of the ratio computed from the error bars associated with each effective bias.
Current usage metrics show cumulative count of Article Views (full-text article views including HTML views, PDF and ePub downloads, according to the available data) and Abstracts Views on Vision4Press platform.
Data correspond to usage on the plateform after 2015. The current usage metrics is available 48-96 hours after online publication and is updated daily on week days.
Initial download of the metrics may take a while.