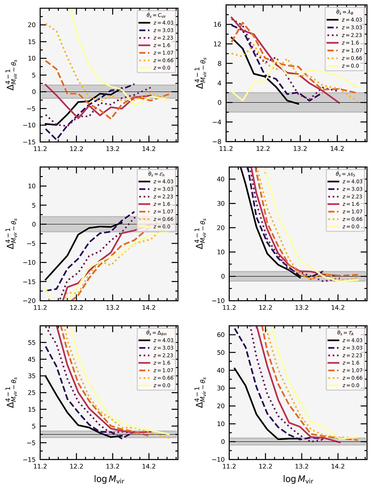
Fig. 19.

Download original image
Statistical significance of the secondary halo bias as a function of halo mass, computed using Eq. (14) for different redshifts and for a number of secondary halo properties: concentration Cvir, spin λB, ellipticity ℰh, Mach number ℳ5, local dark matter overdensity Δdm, and tidal anisotropy 𝒯A. The dark-shaded stripe denotes a strip of and the horizontal line marks
.
(< 0) implies that upper (lower) quartiles display higher clustering strength than lower (upper) quartiles.
Current usage metrics show cumulative count of Article Views (full-text article views including HTML views, PDF and ePub downloads, according to the available data) and Abstracts Views on Vision4Press platform.
Data correspond to usage on the plateform after 2015. The current usage metrics is available 48-96 hours after online publication and is updated daily on week days.
Initial download of the metrics may take a while.