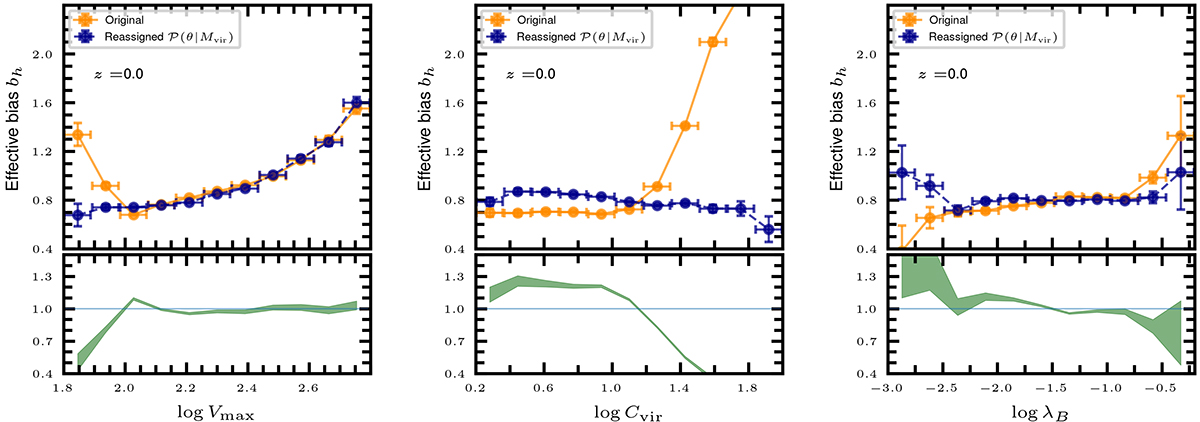
Fig. 22.

Download original image
Comparison between the measurements of the effective halo bias as a function Vmax, Cvir, and λB as read from the original catalog against the signal measured used after reassigning the same set of properties using a scaling relation based solely on the virial mass. The bottom panels show the ratio between the bias in the bins of the “reassigned” to that measured in bins of the “original” property.
Current usage metrics show cumulative count of Article Views (full-text article views including HTML views, PDF and ePub downloads, according to the available data) and Abstracts Views on Vision4Press platform.
Data correspond to usage on the plateform after 2015. The current usage metrics is available 48-96 hours after online publication and is updated daily on week days.
Initial download of the metrics may take a while.