Open Access
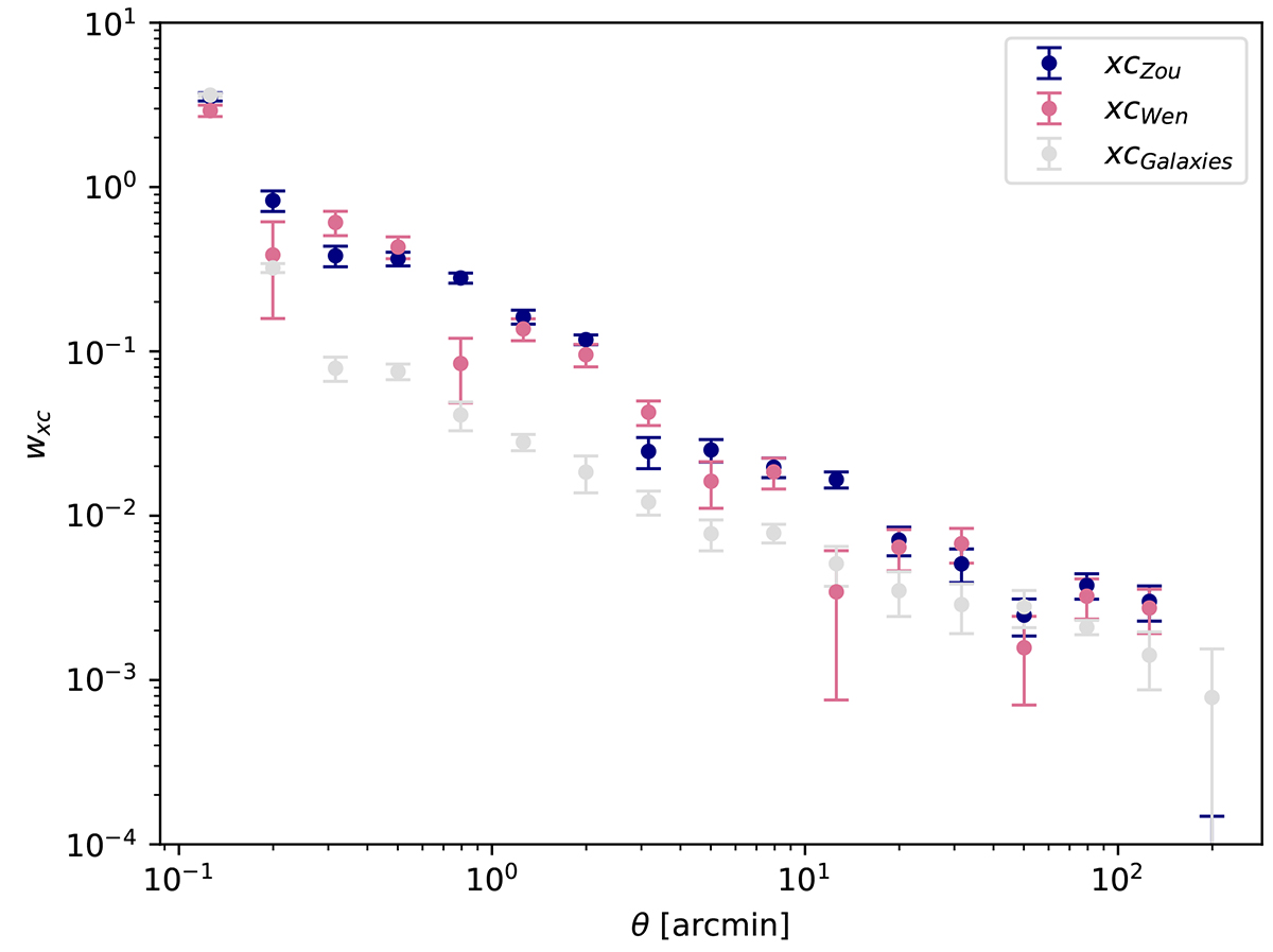
Fig. 3.

Download original image
Cross-correlation data obtained with ZOU (blue circles) and WEN (pink circles) clusters as lenses. For comparison, cross-correlation data obtained with the galaxy sample by Cueli et al. (2024) are shown in grey.
Current usage metrics show cumulative count of Article Views (full-text article views including HTML views, PDF and ePub downloads, according to the available data) and Abstracts Views on Vision4Press platform.
Data correspond to usage on the plateform after 2015. The current usage metrics is available 48-96 hours after online publication and is updated daily on week days.
Initial download of the metrics may take a while.