Fig. 10.

Download original image
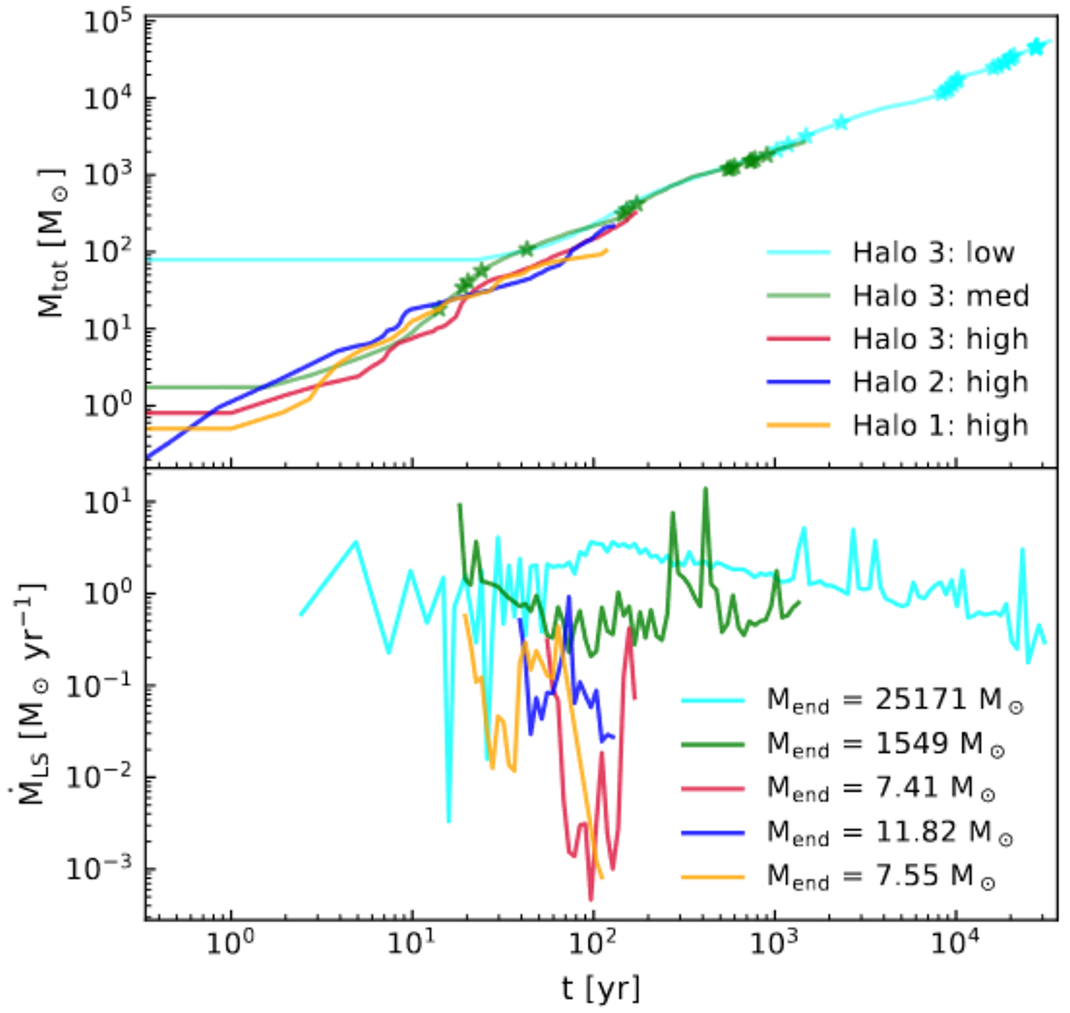
Comparison between the high resolution and low resolution simulations. Top: time evolution of the total mass of the system. The times at which new sink particles formed are indicated with star-shaped markers in the medium and low resolution simulations. We do not show the formation of sink particles for the high resolution simulations as fragmentation occurs almost instantly. Bottom: accretion rates onto the most massive surviving (non-ejected) sink particle. Also shown are the masses of the most massive surviving sink at the end of the simulations.
Current usage metrics show cumulative count of Article Views (full-text article views including HTML views, PDF and ePub downloads, according to the available data) and Abstracts Views on Vision4Press platform.
Data correspond to usage on the plateform after 2015. The current usage metrics is available 48-96 hours after online publication and is updated daily on week days.
Initial download of the metrics may take a while.