Open Access
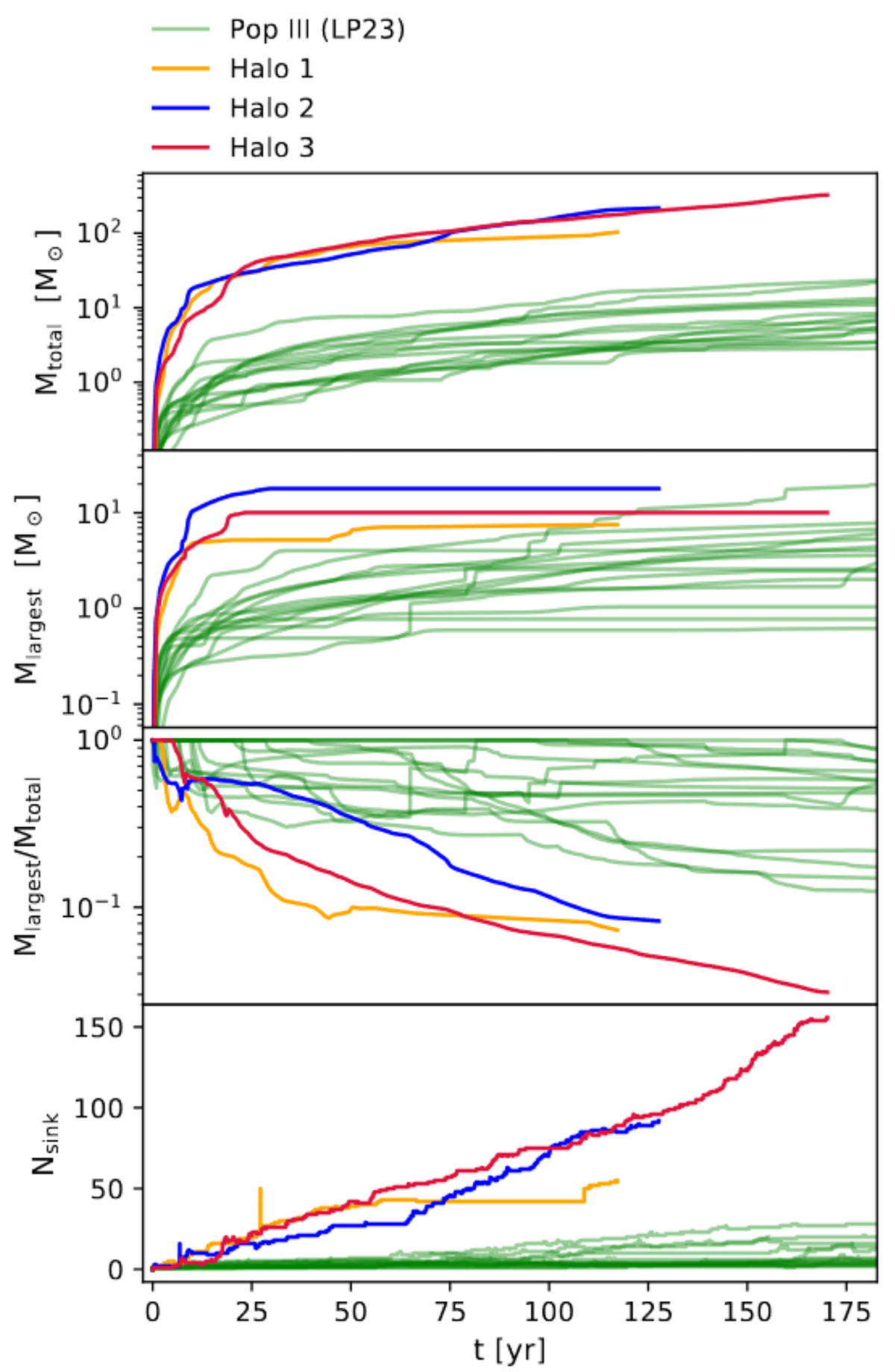
Fig. 7.

Download original image
Time evolution of the ratio of the mass of the largest sink to the total mass accreted across all sinks, the mass of the largest sink particle, the total mass accreted onto sink particles, and the total number of sink particles. For comparison, results from the 15 Pop III star-forming minihalos from LP23 are shown in green.
Current usage metrics show cumulative count of Article Views (full-text article views including HTML views, PDF and ePub downloads, according to the available data) and Abstracts Views on Vision4Press platform.
Data correspond to usage on the plateform after 2015. The current usage metrics is available 48-96 hours after online publication and is updated daily on week days.
Initial download of the metrics may take a while.