Open Access
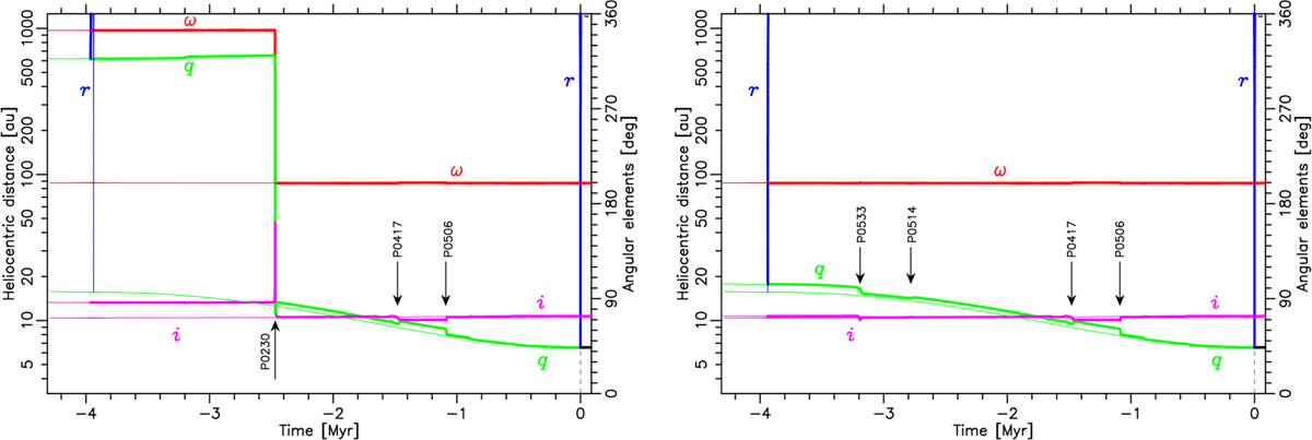
Fig. 7

Download original image
Past dynamical evolution of the C/2012 LP26 nominal orbit (‘aa’ solution, see the CODE catalogue). Colour-coded curves are described in the previous panels. Left panel - all stars included; right panel – only HD 7977 excluded.
Current usage metrics show cumulative count of Article Views (full-text article views including HTML views, PDF and ePub downloads, according to the available data) and Abstracts Views on Vision4Press platform.
Data correspond to usage on the plateform after 2015. The current usage metrics is available 48-96 hours after online publication and is updated daily on week days.
Initial download of the metrics may take a while.