Fig. 8

Download original image
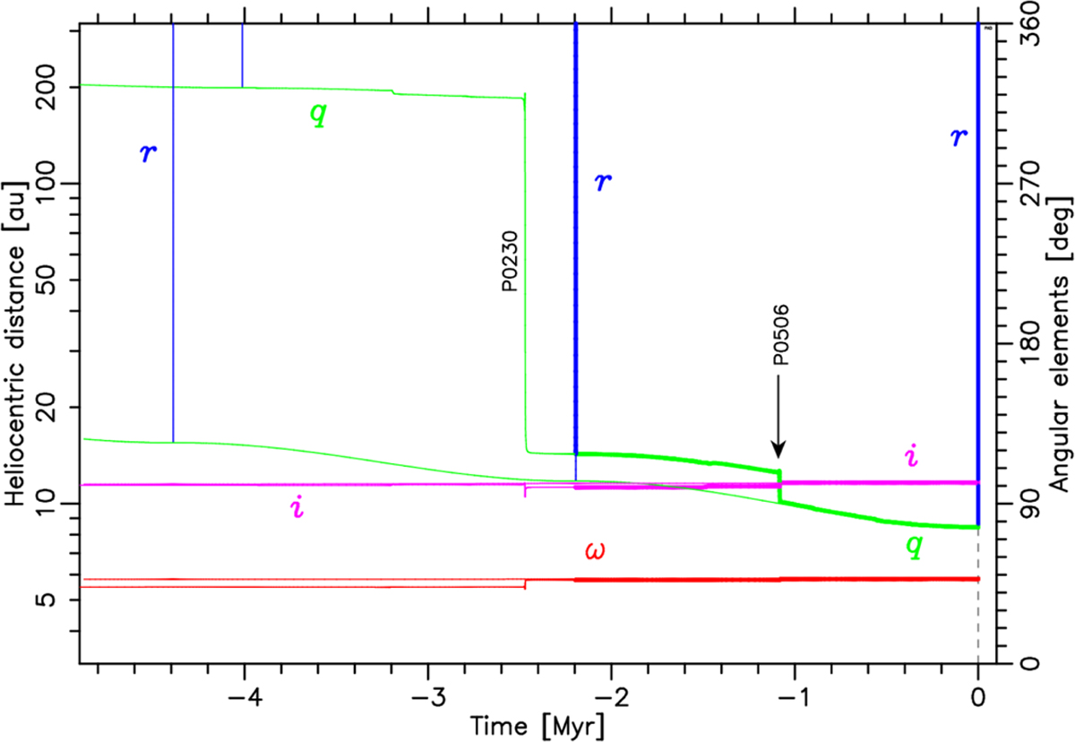
Past dynamical evolution of the C/2010 U3 nominal orbit (‘sg’ solution, see CODE catalogue). Changes in a perihelion distance (green), an inclination (fuchsia), and an argument of perihelion (red) are shown; angular elements are expressed in a Galactic frame. The thick lines going back in time to the previous perihelion show the result of the full dynamical model while thin lines in this period – the evolution of elements in the absence of any stellar perturbations, that is, only the galactic perturbations are taken into account. See text for the interpretation of the plot before 2.2 Myr ago.
Current usage metrics show cumulative count of Article Views (full-text article views including HTML views, PDF and ePub downloads, according to the available data) and Abstracts Views on Vision4Press platform.
Data correspond to usage on the plateform after 2015. The current usage metrics is available 48-96 hours after online publication and is updated daily on week days.
Initial download of the metrics may take a while.