Fig. 10

Download original image
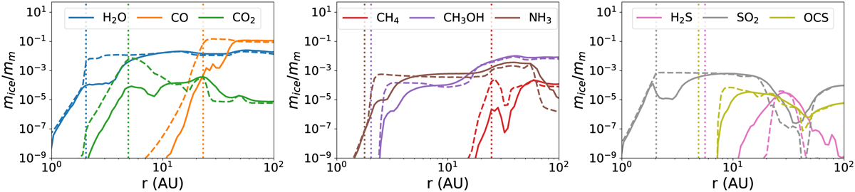
Comparison of the midplane abundance of key ice species predicted by SHAMPOO (solid line) and estimated from the local ice phase molecule number density nx,ice in ProDiMo (dashed line) for H2O, CO, and CO2 (left); CH4, CH3OH, and NH3 (center); and H2S, SO2, and OCS (right). The vertical dotted lines indicate ice lines of the respective species.
Current usage metrics show cumulative count of Article Views (full-text article views including HTML views, PDF and ePub downloads, according to the available data) and Abstracts Views on Vision4Press platform.
Data correspond to usage on the plateform after 2015. The current usage metrics is available 48-96 hours after online publication and is updated daily on week days.
Initial download of the metrics may take a while.