Fig. 10.

Download original image
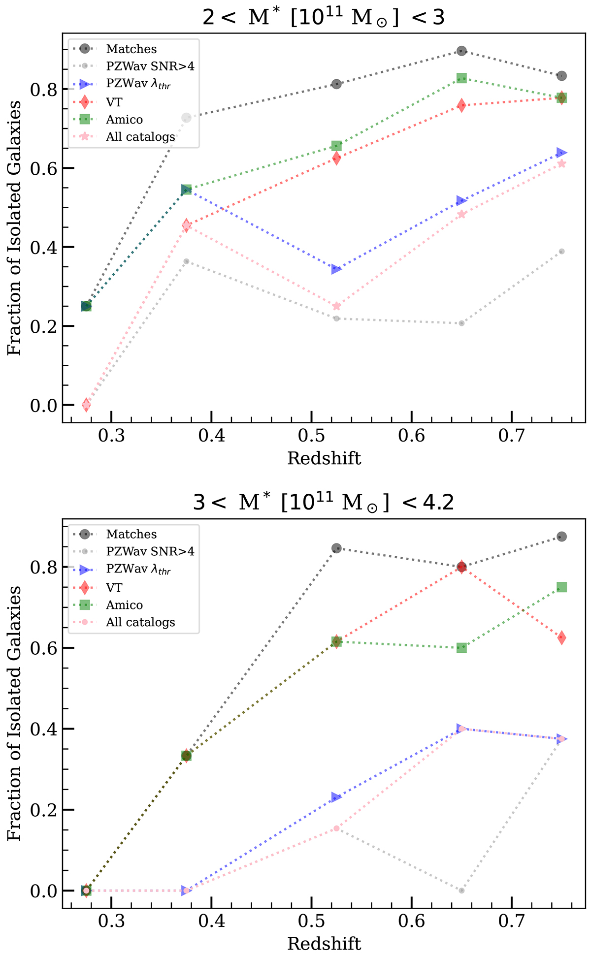
Evolution of the fraction of galaxies without any cluster association with redshift for two mass ranges: 2 < M⋆ [1011 M⊙] < 3 and 3 < M⋆ [1011 M⊙] < 4.2, with corresponding halo masses from 1.4 to 4.1 × 1013 M⊙ and 0.41 to 1.4 × 1014 M⊙. In black are the common matches between optical catalogues. The grey colour shows the PZWav complete sample, blue is PZWav after richness selection, red is VT, green is AMICO, and pink is the contribution of all (PZWav sub-sample) optical catalogues together.
Current usage metrics show cumulative count of Article Views (full-text article views including HTML views, PDF and ePub downloads, according to the available data) and Abstracts Views on Vision4Press platform.
Data correspond to usage on the plateform after 2015. The current usage metrics is available 48-96 hours after online publication and is updated daily on week days.
Initial download of the metrics may take a while.