Fig. 7.

Download original image
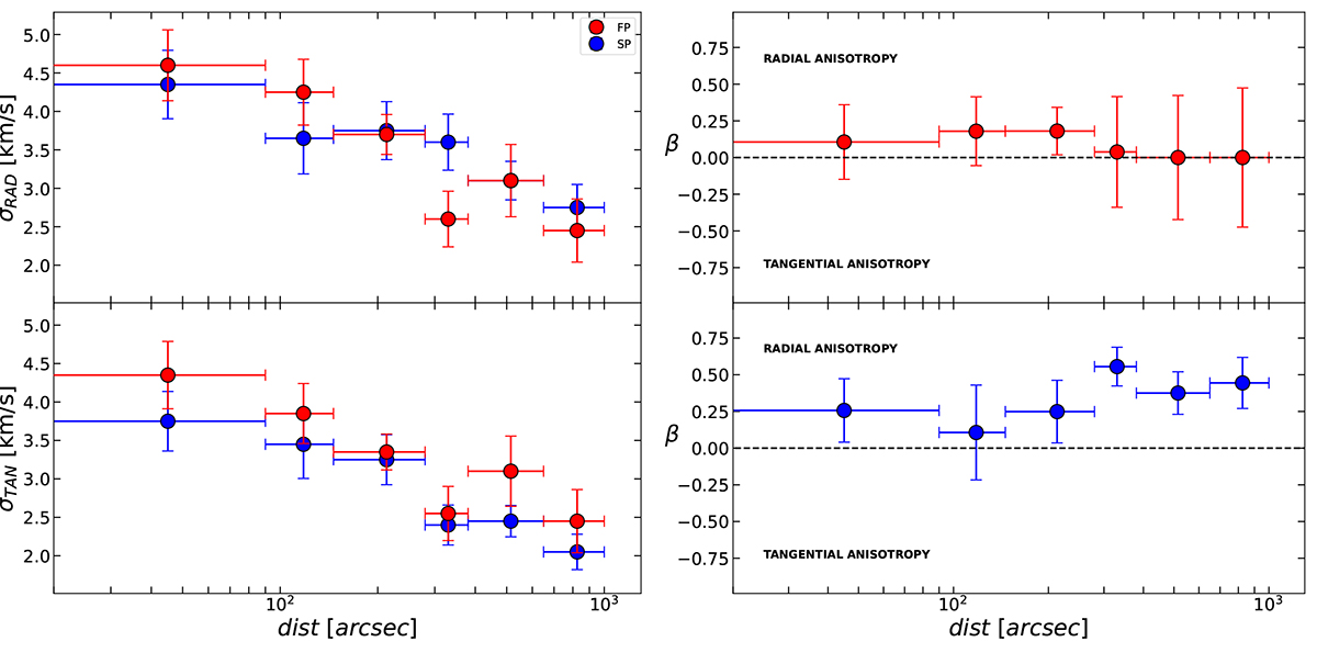
Velocity dispersion and anisotropy profiles of the MPs in NGC 3201. Left-hand panel: radial and tangential dispersion profiles are presented in the top and bottom panels, respectively. Red and blue points are obtained for FP and SP stars, respectively. Right-hand panel: anisotropy profiles for the FP and SP stars in the top and bottom panel, respectively.
Current usage metrics show cumulative count of Article Views (full-text article views including HTML views, PDF and ePub downloads, according to the available data) and Abstracts Views on Vision4Press platform.
Data correspond to usage on the plateform after 2015. The current usage metrics is available 48-96 hours after online publication and is updated daily on week days.
Initial download of the metrics may take a while.