Fig. 10.

Download original image
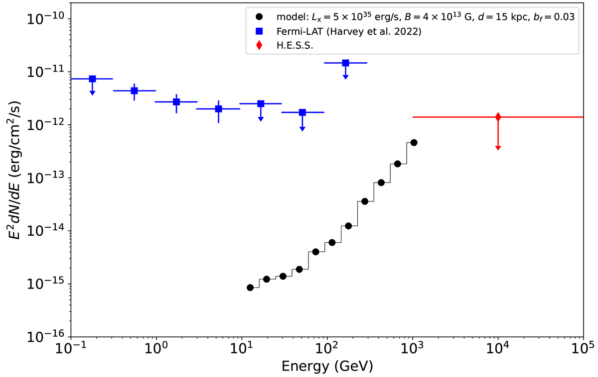
Comparison between observed and simulated spectra of SAX J1324.4−6200. Black circles: simulated spectral energy distribution expected from SAX J1324.4−6200, if it produces γ-ray emission with the mechanism presented in Ducci et al. (2023). The assumed X-ray luminosity, magnetic field strength, distance, and beaming factor, are reported in the legend of the figure. Blue squares: Fermi/LAT spectrum measured by Harvey et al. (2022, see their Fig. 3). Red diamond: upper limit obtained from the H.E.S.S. Galactic survey.
Current usage metrics show cumulative count of Article Views (full-text article views including HTML views, PDF and ePub downloads, according to the available data) and Abstracts Views on Vision4Press platform.
Data correspond to usage on the plateform after 2015. The current usage metrics is available 48-96 hours after online publication and is updated daily on week days.
Initial download of the metrics may take a while.