Fig. 5.

Download original image
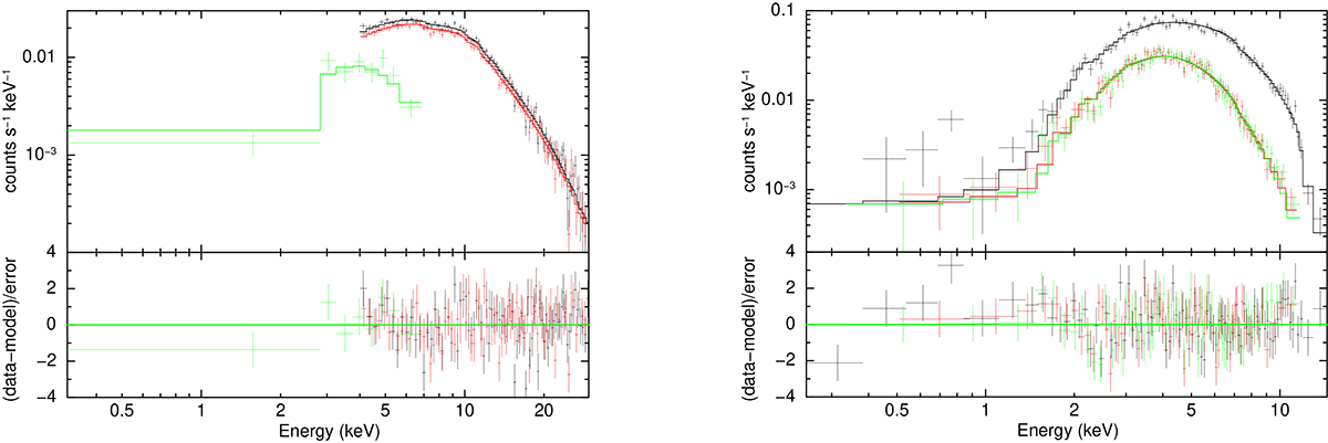
Left panel: NuSTAR (black: module A; red: module B) and Swift/XRT (green) spectra of SAX J1324.4−6200, fit simultaneously with an absorbed power law with a high energy cutoff. Right panel: XMM-Newton (black: pn; red: MOS1; green: MOS2) spectra of SAX J1324.4−6200, fit simultaneously with an absorbed power law with a high energy cutoff (Ec and Ef frozen to the best fit values obtained from the XRT+NuSTAR fit). The lower panels show the residuals of the fit.
Current usage metrics show cumulative count of Article Views (full-text article views including HTML views, PDF and ePub downloads, according to the available data) and Abstracts Views on Vision4Press platform.
Data correspond to usage on the plateform after 2015. The current usage metrics is available 48-96 hours after online publication and is updated daily on week days.
Initial download of the metrics may take a while.