Fig. 9.

Download original image
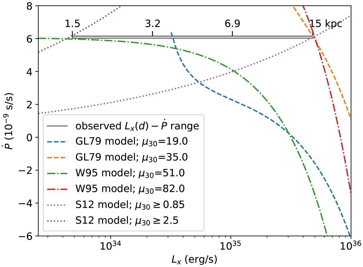
Ṗ − Lx functions from the (Ghosh & Lamb 1979, GL79, dashed lines) (Wang 1995, W95, dot-dash lines) and (Shakura et al. 2012, S12, dot lines) models corresponding to the minimum and maximum values of the magnetic dipole moment. These lines are the limits of the solutions obtained from these models that are in agreement with the observed spin period derivative of SAX J1324.4−6200 and its X-ray luminosity as a function of the distance (black rectangle).
Current usage metrics show cumulative count of Article Views (full-text article views including HTML views, PDF and ePub downloads, according to the available data) and Abstracts Views on Vision4Press platform.
Data correspond to usage on the plateform after 2015. The current usage metrics is available 48-96 hours after online publication and is updated daily on week days.
Initial download of the metrics may take a while.