Fig. 4

Download original image
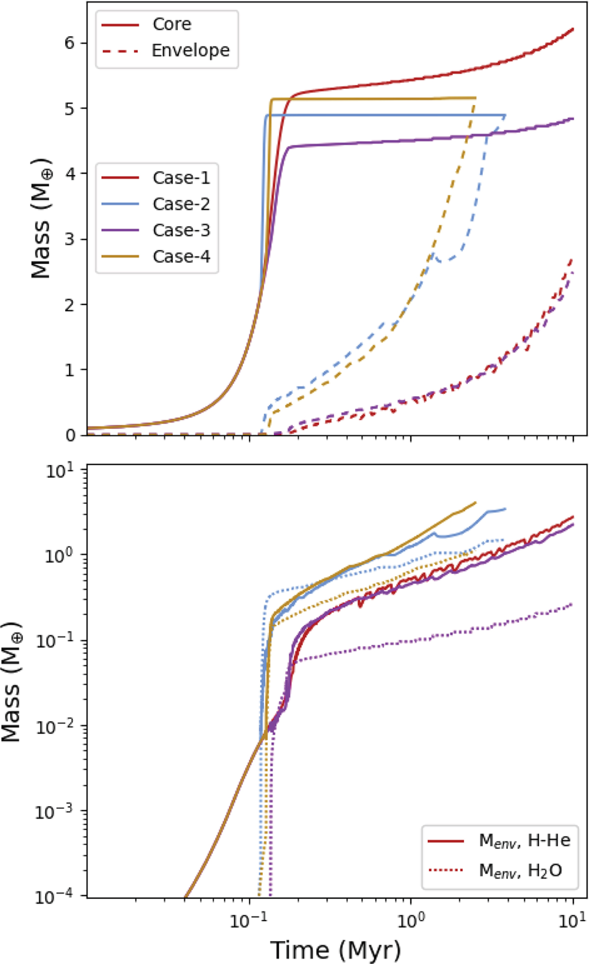
In situ formation of a planet at 3 au with rapid growth. The simulations are run until the envelope and core are of equal mass or until 10 Myr. The initial solid surface density is 17.33 g cm−2 (heavy disk). The upper panels show the mass of the core and the mass of the envelope over time. The lower panel shows the same simulations as in the upper panel, but only the envelope masses over time. Solid lines are the mass from primordial H–He. The dashed lines are the envelope mass from water vapor. In Case-1 there is no water vapor as only hydrogen and helium are accreted from the nebula.
Current usage metrics show cumulative count of Article Views (full-text article views including HTML views, PDF and ePub downloads, according to the available data) and Abstracts Views on Vision4Press platform.
Data correspond to usage on the plateform after 2015. The current usage metrics is available 48-96 hours after online publication and is updated daily on week days.
Initial download of the metrics may take a while.