Fig. 5

Download original image
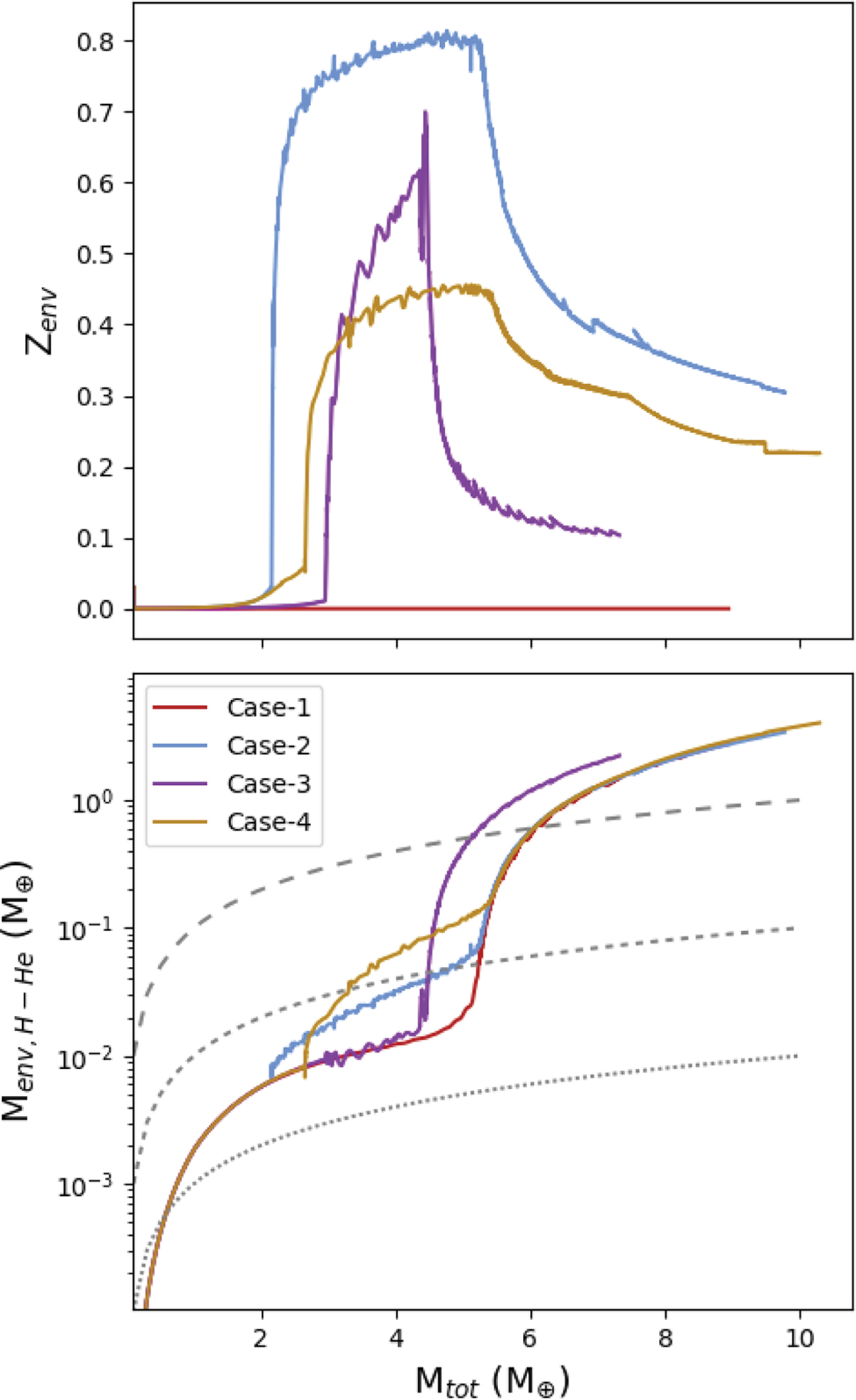
Same simulations as presented in Fig. 4 but showing the heavy element fraction of the envelope (upper panel) and the primordial envelope mass, from pure H-He (lower panel). Both are shown as a function of the total mass (Mcore + Menv). The gray dashes lines indicate where primordial envelope mass fractions would be 0.1%, 1%, and 10% of the total mass.
Current usage metrics show cumulative count of Article Views (full-text article views including HTML views, PDF and ePub downloads, according to the available data) and Abstracts Views on Vision4Press platform.
Data correspond to usage on the plateform after 2015. The current usage metrics is available 48-96 hours after online publication and is updated daily on week days.
Initial download of the metrics may take a while.