Open Access
Fig. 7.

Download original image
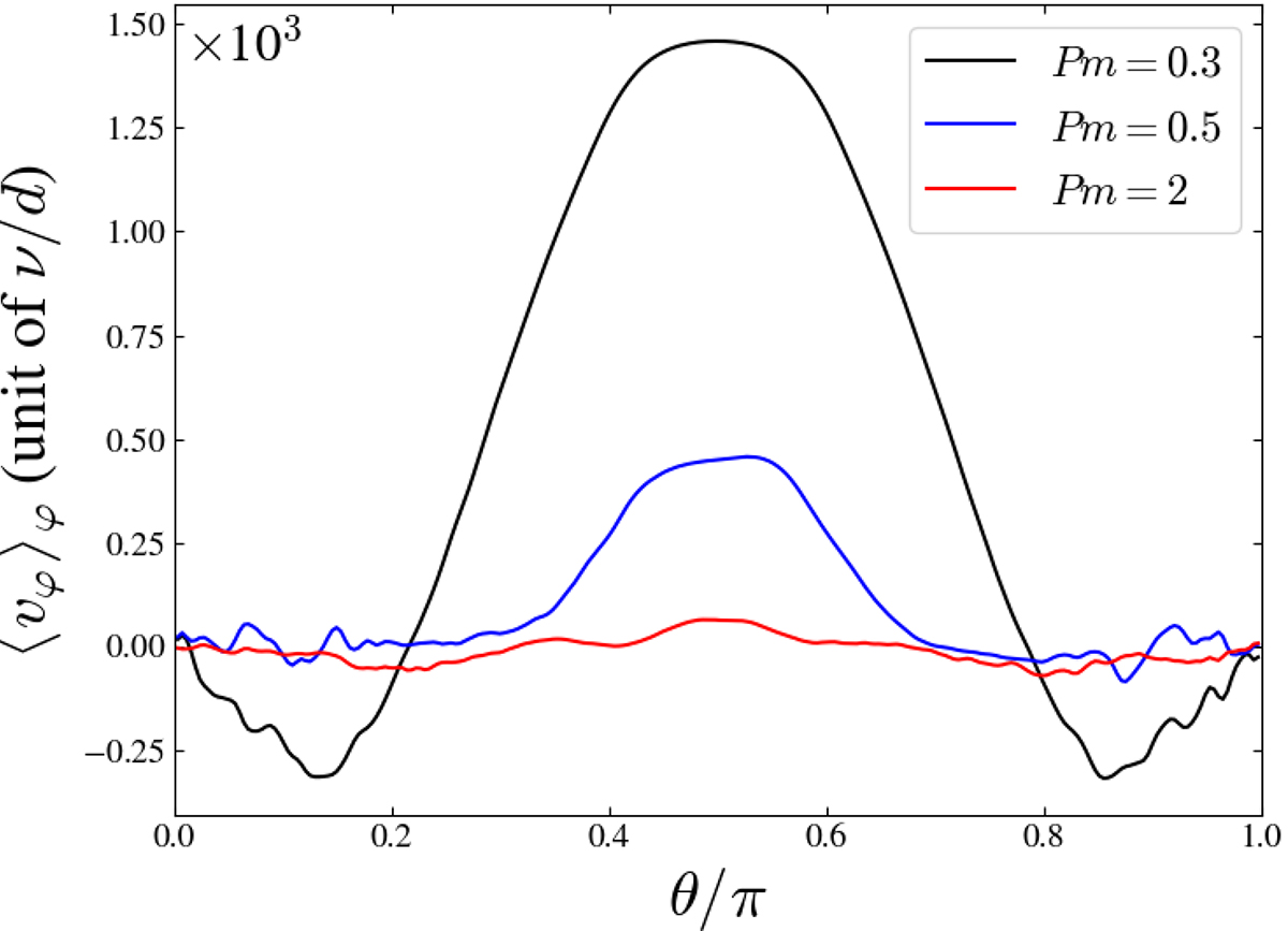
Mean surface azimuthal velocity as a function of the colatitude, for the models in Fig. 6b, i.e., with E = 3 × 10−5, Pr = 0.3, Nρ = 4, and Ra = 3 Rac. The magnetic Prandtl number Pm is varied and the solid black line represents the model with no dynamo (i.e., too low values of Pm).
Current usage metrics show cumulative count of Article Views (full-text article views including HTML views, PDF and ePub downloads, according to the available data) and Abstracts Views on Vision4Press platform.
Data correspond to usage on the plateform after 2015. The current usage metrics is available 48-96 hours after online publication and is updated daily on week days.
Initial download of the metrics may take a while.