Open Access
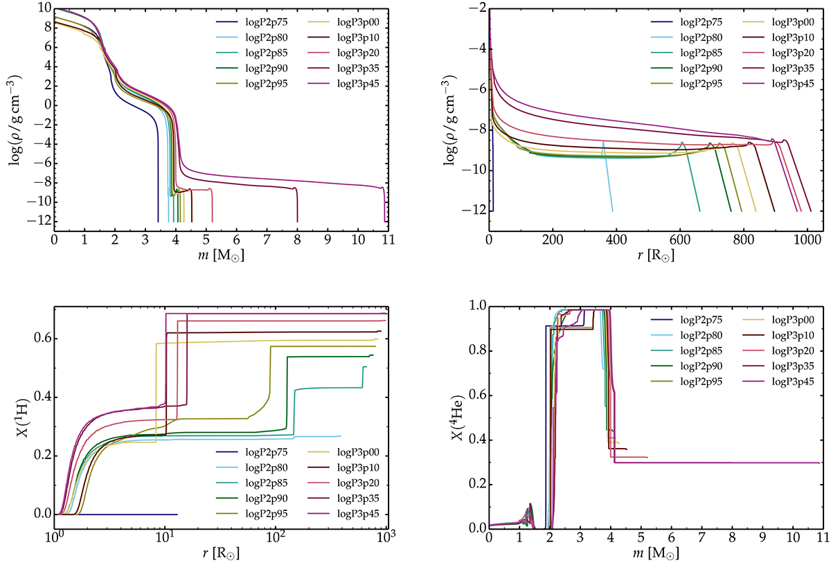
Fig. 1.

Download original image
Pre-SN structure for our model set. We show the density versus mass (top left) and radius (top right), the H mass fraction versus radius (bottom left), and the He mass fraction versus mass (bottom right). See Sect. 2.1.
Current usage metrics show cumulative count of Article Views (full-text article views including HTML views, PDF and ePub downloads, according to the available data) and Abstracts Views on Vision4Press platform.
Data correspond to usage on the plateform after 2015. The current usage metrics is available 48-96 hours after online publication and is updated daily on week days.
Initial download of the metrics may take a while.