Fig. 2.

Download original image
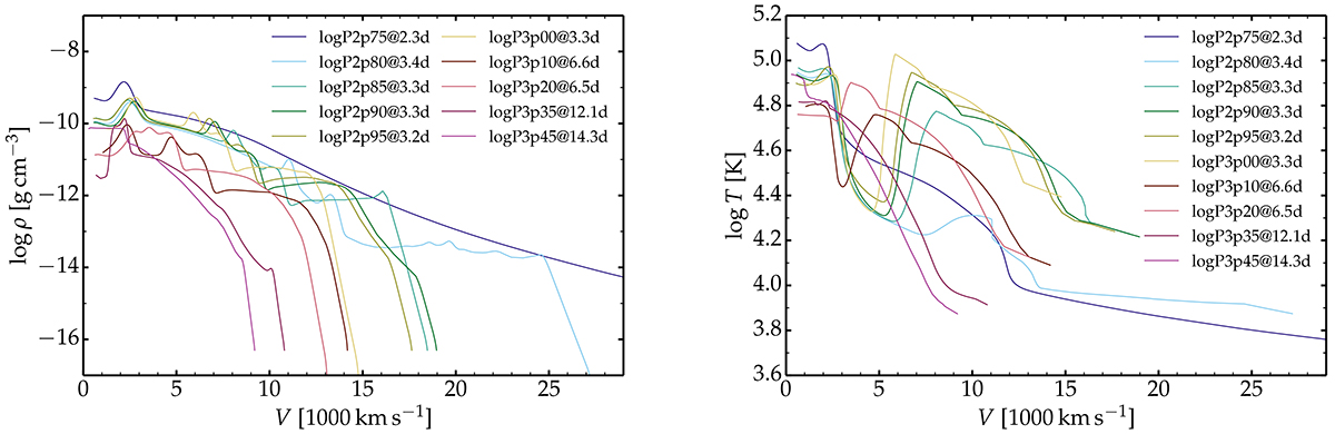
Initial ejecta structure for our CMFGEN simulations. We show the density (left) and the temperature (right) versus velocity for the ejecta that result from the explosion of the primary star in our set of binary progenitor models. These profiles are used as initial conditions for the radiative transfer calculations. The initial SN age, at which homologous expansion is essentially reached, occurs earlier for more compact progenitors and varies from 2.3 (model logP2p75) to 14.3 d (model logP3p45). The ejecta extend to about 40 000 km s−1 for model logP2p75 (cut at 29 000 km s−1 here for better visibility).
Current usage metrics show cumulative count of Article Views (full-text article views including HTML views, PDF and ePub downloads, according to the available data) and Abstracts Views on Vision4Press platform.
Data correspond to usage on the plateform after 2015. The current usage metrics is available 48-96 hours after online publication and is updated daily on week days.
Initial download of the metrics may take a while.