Open Access
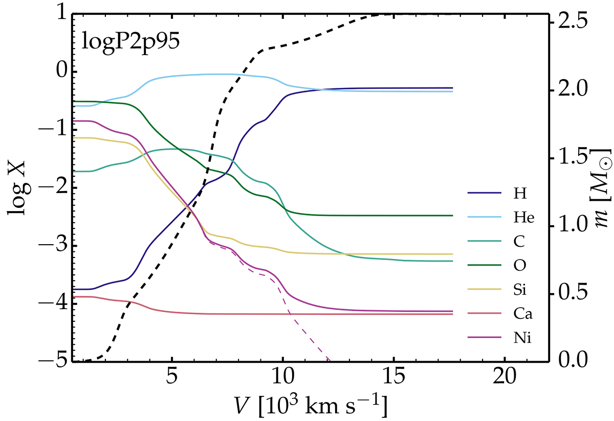
Fig. 3.

Download original image
Composition profile of model logP2p95 at 3.5 d used as initial conditions for the CMFGEN calculations. In the case of Ni, we show both the total mass fraction from all Ni isotopes (solid) and the mass fraction of 56Ni alone (dashed). The right axis corresponds to the Lagrangian mass (dashed black line).
Current usage metrics show cumulative count of Article Views (full-text article views including HTML views, PDF and ePub downloads, according to the available data) and Abstracts Views on Vision4Press platform.
Data correspond to usage on the plateform after 2015. The current usage metrics is available 48-96 hours after online publication and is updated daily on week days.
Initial download of the metrics may take a while.