Fig. 15

Download original image
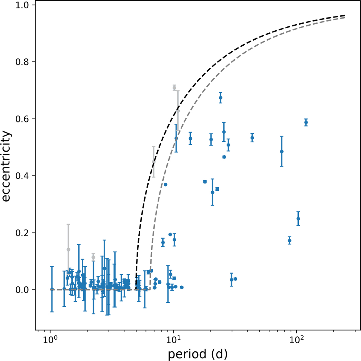
Eccentricity measurements for a subset of targets from the Kepler EB Catalog. Selections were made in eccentricity error (<0.1) and morphology parameter (<0.5), and measure of signal-to-noise of the intrinsic variability at non-harmonic frequencies (>6). We use the maximum eccentricity as a function of orbital period in Halbwachs et al. (2005, Eq. (3)) with the cut-off period set to 5 and 6.5 days to plot the dashed black and grey lines. Grey points indicate systems that do not belong in this selection or have otherwise faulty measurements.
Current usage metrics show cumulative count of Article Views (full-text article views including HTML views, PDF and ePub downloads, according to the available data) and Abstracts Views on Vision4Press platform.
Data correspond to usage on the plateform after 2015. The current usage metrics is available 48-96 hours after online publication and is updated daily on week days.
Initial download of the metrics may take a while.