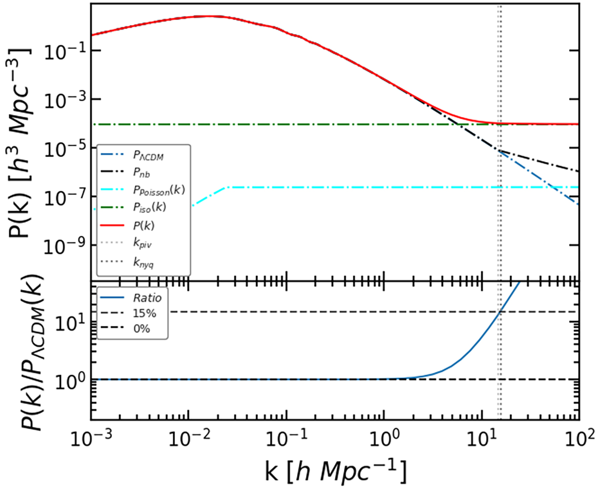
Fig. 1.

Download original image
Power spectra adopted in the construction of initial conditions (top). The blue line shows the initial spectrum for the ΛCDM model. The initial power spectrum with all contributions from PBHs is shown in red. The black line shows the broken power spectrum, the cyan line shows the contribution due to the Poisson effect, and the green line shows the isocurvature effect. The vertical dash-dotted grey lines show the location of kpiv and knyq. Bottom: ratio between the power spectra with and without PBH effects.
Current usage metrics show cumulative count of Article Views (full-text article views including HTML views, PDF and ePub downloads, according to the available data) and Abstracts Views on Vision4Press platform.
Data correspond to usage on the plateform after 2015. The current usage metrics is available 48-96 hours after online publication and is updated daily on week days.
Initial download of the metrics may take a while.