Fig. 1

Download original image
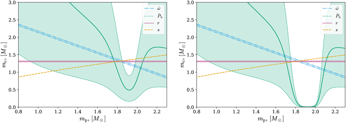
Mass-mass diagrams for the PSR J2222–0137 system at the zone of high non-linearity where a fast transition to a strongly scalarised NS happens. PK parameters are obtained by fitting the DD model to the timing data from Guo et al. (2021b). Calculations are preformed within DEF gravity for the MPA1 EOS allowing NSs with maximum mass in GR of MGR ≃ 2.46 M⊙. Left panel corresponds to the point in the DEF gravity parameter space with α0 = −10−4, β0 = −4.3, which is not excluded by the test. Right panel shows the same test but for α0 = −10−4, β0 = −4.35. The prediction of a strong dipolar contribution fails the test for the more negative β0 = −4.35. The axes correspond to the masses of the pulsar mp and the companion c. The shadowed area is the allowed region at 68% confidence level (CL) limit for a corresponding PK parameter. The solid green line corresponds to the observed value of
due to the GW emission.
Current usage metrics show cumulative count of Article Views (full-text article views including HTML views, PDF and ePub downloads, according to the available data) and Abstracts Views on Vision4Press platform.
Data correspond to usage on the plateform after 2015. The current usage metrics is available 48-96 hours after online publication and is updated daily on week days.
Initial download of the metrics may take a while.