Fig. 11.

Download original image
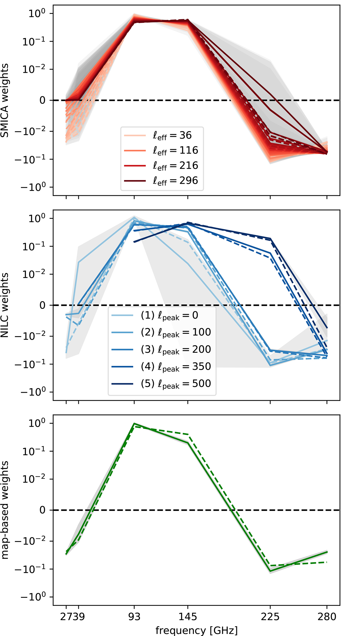
Channel-specific weights associated with the component-separated CMB for the three nominal pipelines. We show the SMICA weights for 27 different ℓ-bins calculated from raw, noisy Cℓs (pipeline A, upper panel), pixel-averaged NILC weights for five needlet windows (pipeline B, middle panel), and pixel-averaged weights from parametric map-based component separation (pipeline C, lower panel). Weights are averaged over 100 simulations, shown are goal white + optimistic 1/f noise (dashed lines) as well as baseline white + pessimistic 1/f noise (solid lines). The semitransparent gray areas represent the channel weights’ 1-σ standard deviation across 100 simulations, covering baseline + pessimistic noise.
Current usage metrics show cumulative count of Article Views (full-text article views including HTML views, PDF and ePub downloads, according to the available data) and Abstracts Views on Vision4Press platform.
Data correspond to usage on the plateform after 2015. The current usage metrics is available 48-96 hours after online publication and is updated daily on week days.
Initial download of the metrics may take a while.