Open Access
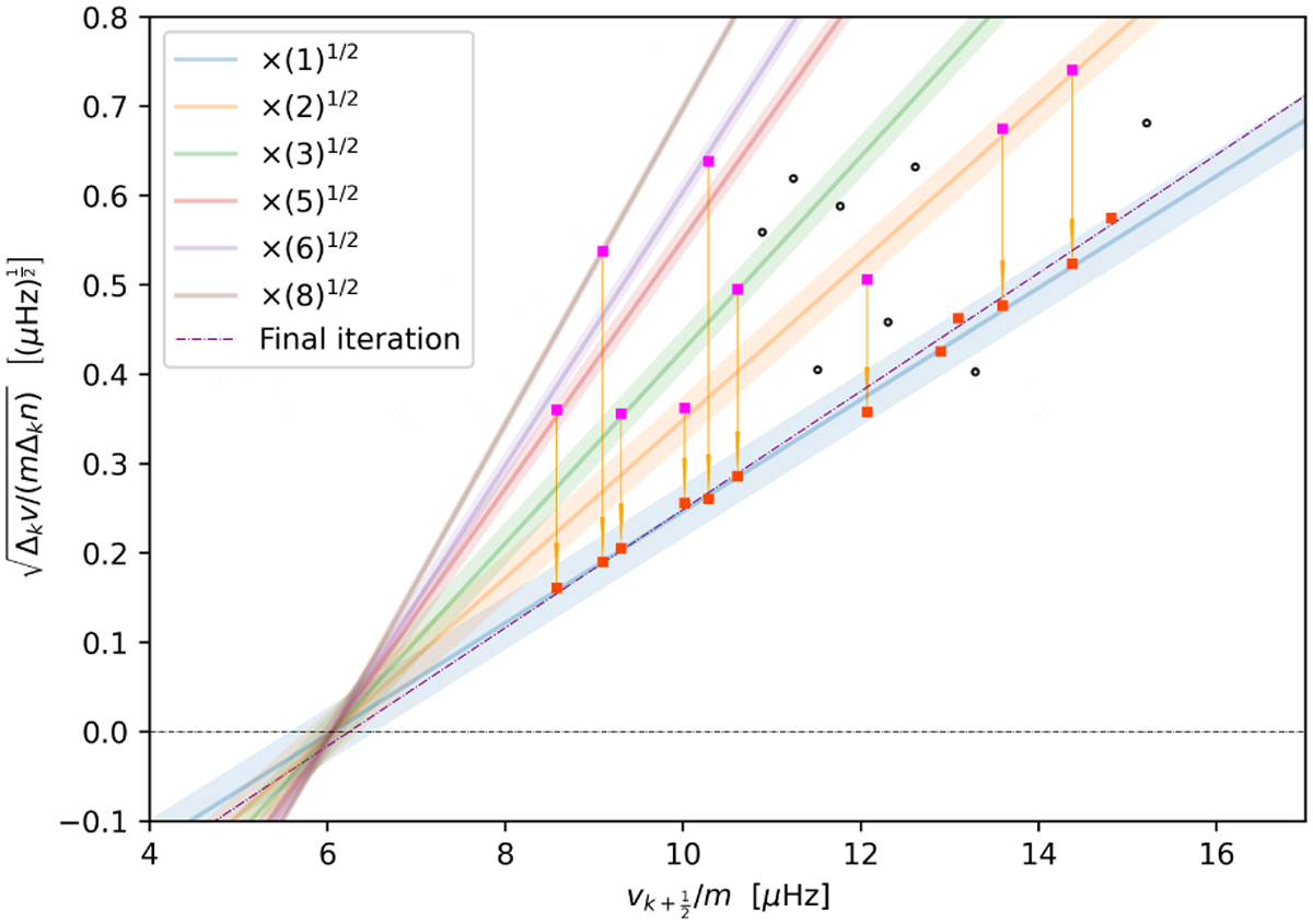
Fig. E.4

Download original image
Same details as in Fig. E.1, but for EPIC 231532027, using frequencies between 8.5 and 15.0 μHz attributed to prograde sectoral modes with m =1. The results indicate a rotation frequency of vrot = 6.2 ± 0.1 μHz and a characteristic period of P0 = 4.4 ± 0.2 · 103 s.
Current usage metrics show cumulative count of Article Views (full-text article views including HTML views, PDF and ePub downloads, according to the available data) and Abstracts Views on Vision4Press platform.
Data correspond to usage on the plateform after 2015. The current usage metrics is available 48-96 hours after online publication and is updated daily on week days.
Initial download of the metrics may take a while.