Open Access
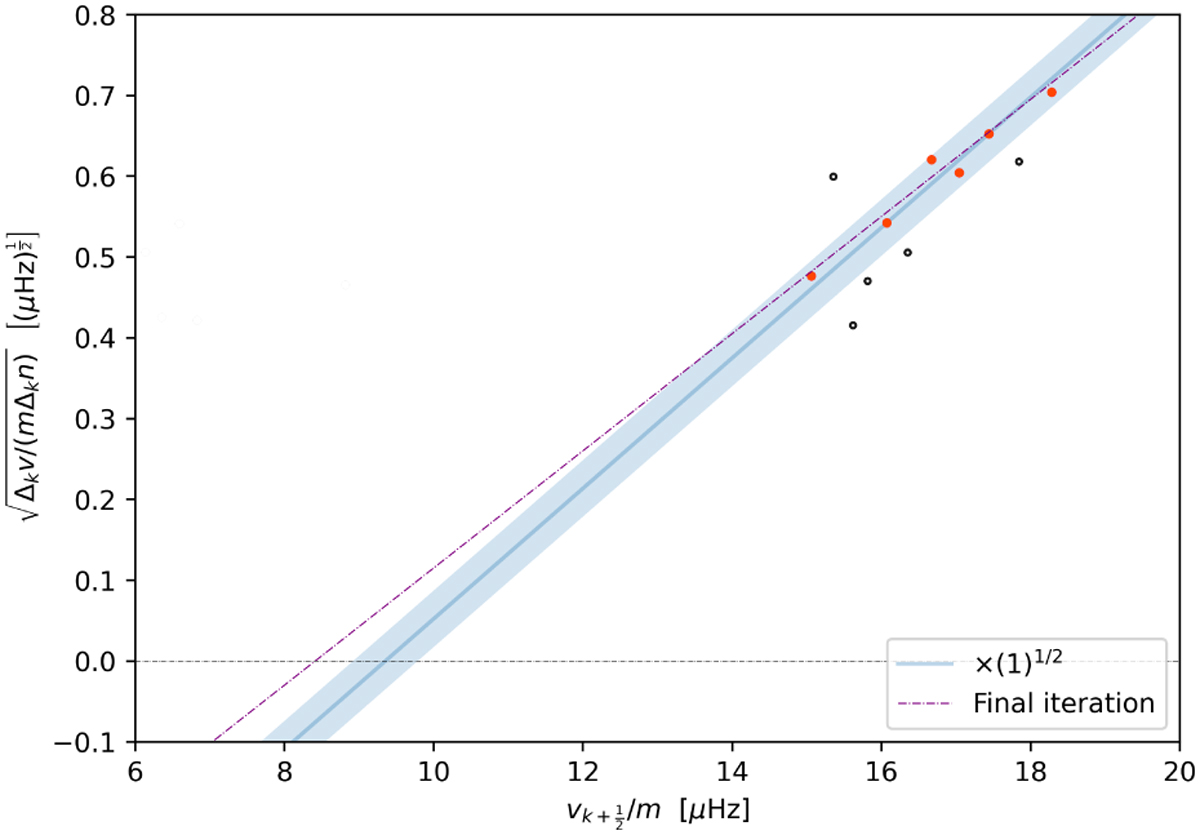
Fig. E.11

Download original image
ν versus diagram for EPIC 240276653. Frequencies between 13.0 and 22.5 μΗz were used, attributed to prograde sectoral modes with m = 1. For this star, we find that vrot = 8.4 ± 0.2 μΗz, P0 = 5.3 ± 0.7 · 103 s.
Current usage metrics show cumulative count of Article Views (full-text article views including HTML views, PDF and ePub downloads, according to the available data) and Abstracts Views on Vision4Press platform.
Data correspond to usage on the plateform after 2015. The current usage metrics is available 48-96 hours after online publication and is updated daily on week days.
Initial download of the metrics may take a while.