Fig. A.2

Download original image
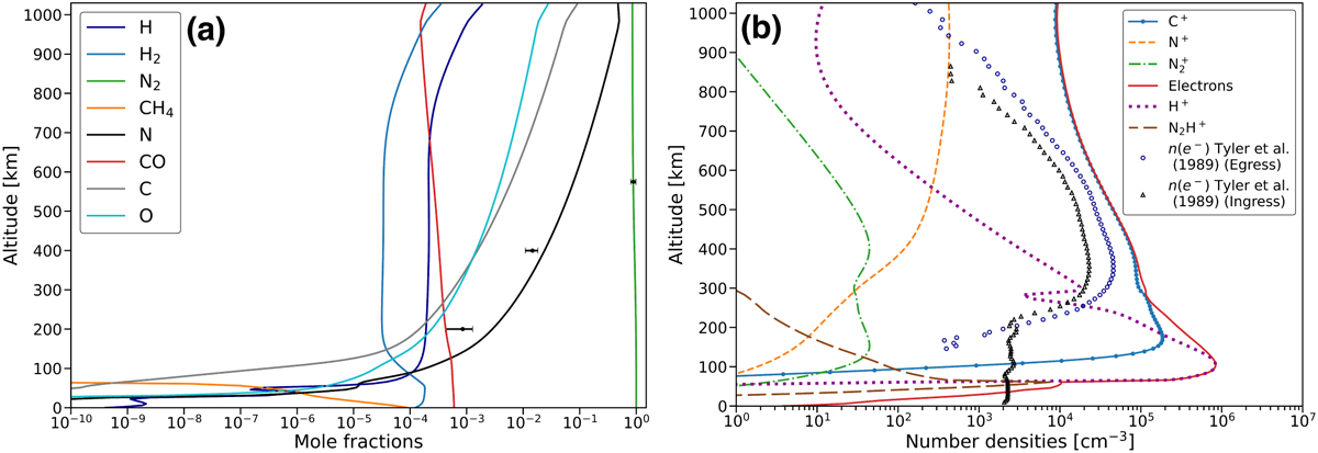
Results from the photochemical model using electron-impact ionization and electron-impact dissociation rates computed by TRANSPlanets with a not renormalized precipitation flux j*(E). (a) Mole fractions of the main neutral species. The horizontal bars represent Voyager 2 measurements as presented in Krasnopolsky et al. (1993). (b) Number density profiles of the main ions. The electron profile can be compared with the profiles presented in Tyler et al. (1989).
Current usage metrics show cumulative count of Article Views (full-text article views including HTML views, PDF and ePub downloads, according to the available data) and Abstracts Views on Vision4Press platform.
Data correspond to usage on the plateform after 2015. The current usage metrics is available 48-96 hours after online publication and is updated daily on week days.
Initial download of the metrics may take a while.