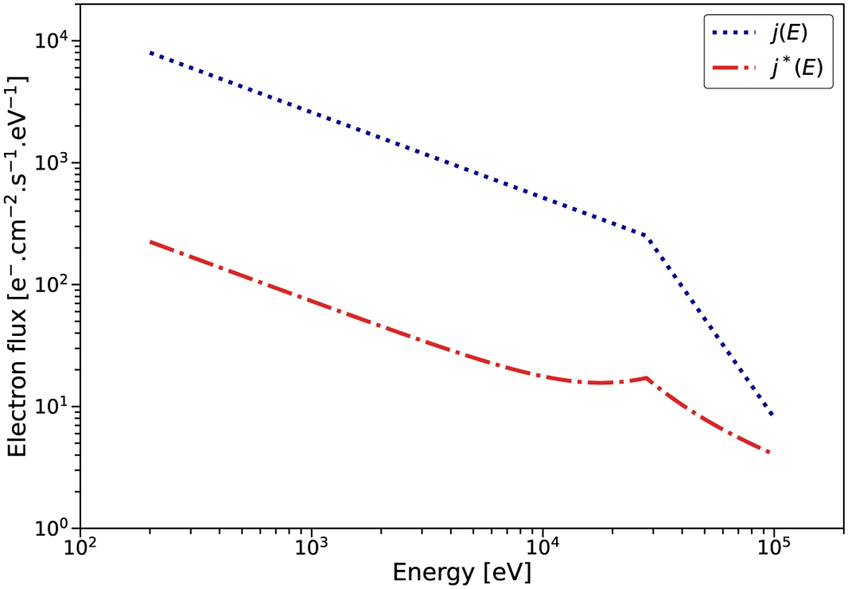
Fig. 4

Download original image
Comparison of the magnetospheric electron flux j(E) from Strobel et al. (1990) (dotted blue line), derived from Voyager 2 observations, and the modified flux j*(E) (dash-dotted red line), computed following the recommendations of Sittler & Hartle (1996). The flux j* (E) is computed from the flux j(E) multiplied by a precipitation probability p(E).
Current usage metrics show cumulative count of Article Views (full-text article views including HTML views, PDF and ePub downloads, according to the available data) and Abstracts Views on Vision4Press platform.
Data correspond to usage on the plateform after 2015. The current usage metrics is available 48-96 hours after online publication and is updated daily on week days.
Initial download of the metrics may take a while.