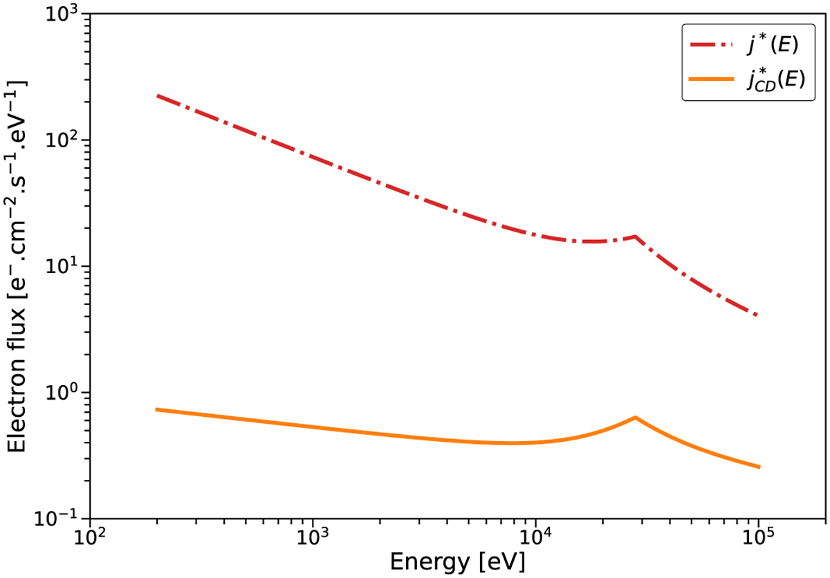
Fig. 5

Download original image
Comparison of the electron flux j*(E) (dash-dotted red line) derived from the flux j(E) from Strobel et al. (1990) and Eq. (12) following the results of Sittler & Hartle (1996), and the renormalized flux (solid orange line). This flux is computed from j*(E) with Eq. (16), so that the electrons deposit the correct amount of power in the Triton atmosphere, with the hypothesis that this power is deposited by curvature drift.
Current usage metrics show cumulative count of Article Views (full-text article views including HTML views, PDF and ePub downloads, according to the available data) and Abstracts Views on Vision4Press platform.
Data correspond to usage on the plateform after 2015. The current usage metrics is available 48-96 hours after online publication and is updated daily on week days.
Initial download of the metrics may take a while.