Fig. 21

Download original image
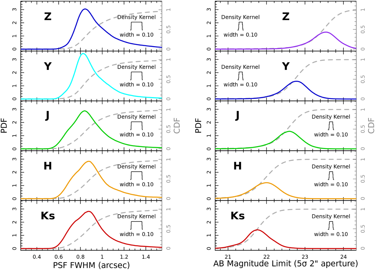
Primary observational properties of pointings in KiDS+KiDZ for observations in the five NIR bands. Each row shows the distribution of PSF sizes (as measured on each VISTA chip; left) and limiting magnitude (as determined by the magnitude of a 5σ source in a 2″ circular aperture; right) determined with a KDE using the annotated kernel. The corresponding cumulative distribution functions for each panel are shown as grey lines.
Current usage metrics show cumulative count of Article Views (full-text article views including HTML views, PDF and ePub downloads, according to the available data) and Abstracts Views on Vision4Press platform.
Data correspond to usage on the plateform after 2015. The current usage metrics is available 48-96 hours after online publication and is updated daily on week days.
Initial download of the metrics may take a while.