Fig. A.4

Download original image
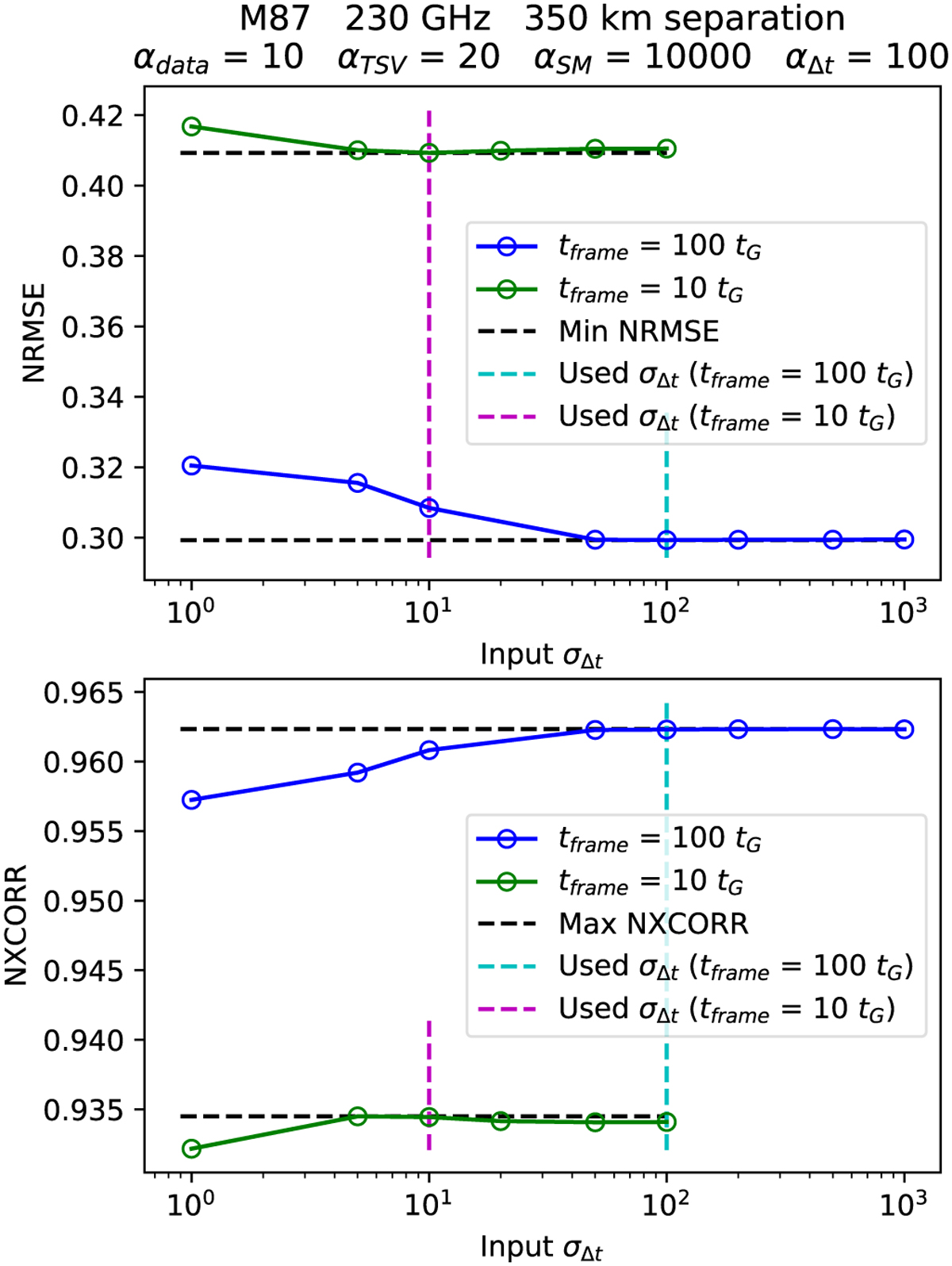
Quality of the M87* movies reconstructed using the dynamical imaging method with different values of the dynamical regularizer parameter σΔt. The image quality is measured in two ways: (1) the NRMSE, shown in the top panel; (2) the NXCORR, shown in the bottom panel. Green and blue lines correspond to reconstructed movies with temporal resolutions of 3.7 days and 37 days, respectively. αdata is the data term weighting parameter, αT S V is the Total Squared Variation regularization weighting parameter, αS M is the Second Moment regularization weighting parameter, αΔt is the dynamical regularizer ℛΔt weighting parameter.
Current usage metrics show cumulative count of Article Views (full-text article views including HTML views, PDF and ePub downloads, according to the available data) and Abstracts Views on Vision4Press platform.
Data correspond to usage on the plateform after 2015. The current usage metrics is available 48-96 hours after online publication and is updated daily on week days.
Initial download of the metrics may take a while.