Open Access
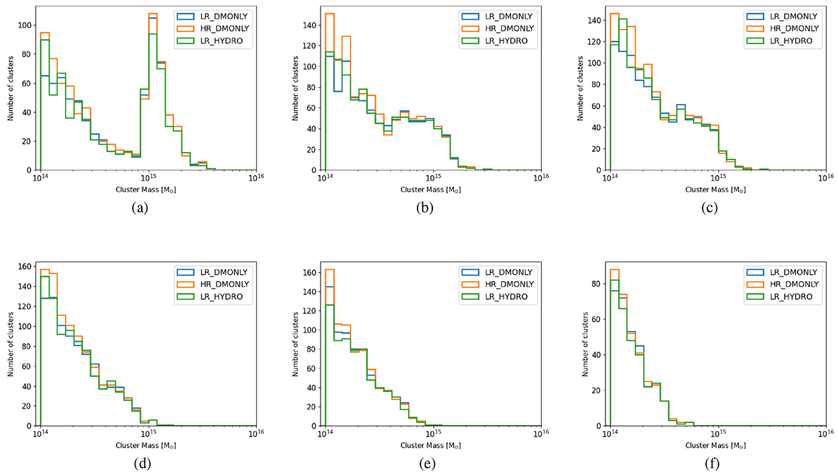
Fig. 2.

Download original image
Mass distribution of the selected clusters for the different snapshots in redshifts for the LR_DMONLY (blue), HR_DMONLY (orange), and LR_HYDRO (green) datasets described in the text. (a) z = 0.0, (b) z = 0.3, (c) z = 0.5, (d) z = 0.8, (e) z = 1.0, (f) z = 1.4.
Current usage metrics show cumulative count of Article Views (full-text article views including HTML views, PDF and ePub downloads, according to the available data) and Abstracts Views on Vision4Press platform.
Data correspond to usage on the plateform after 2015. The current usage metrics is available 48-96 hours after online publication and is updated daily on week days.
Initial download of the metrics may take a while.