Open Access
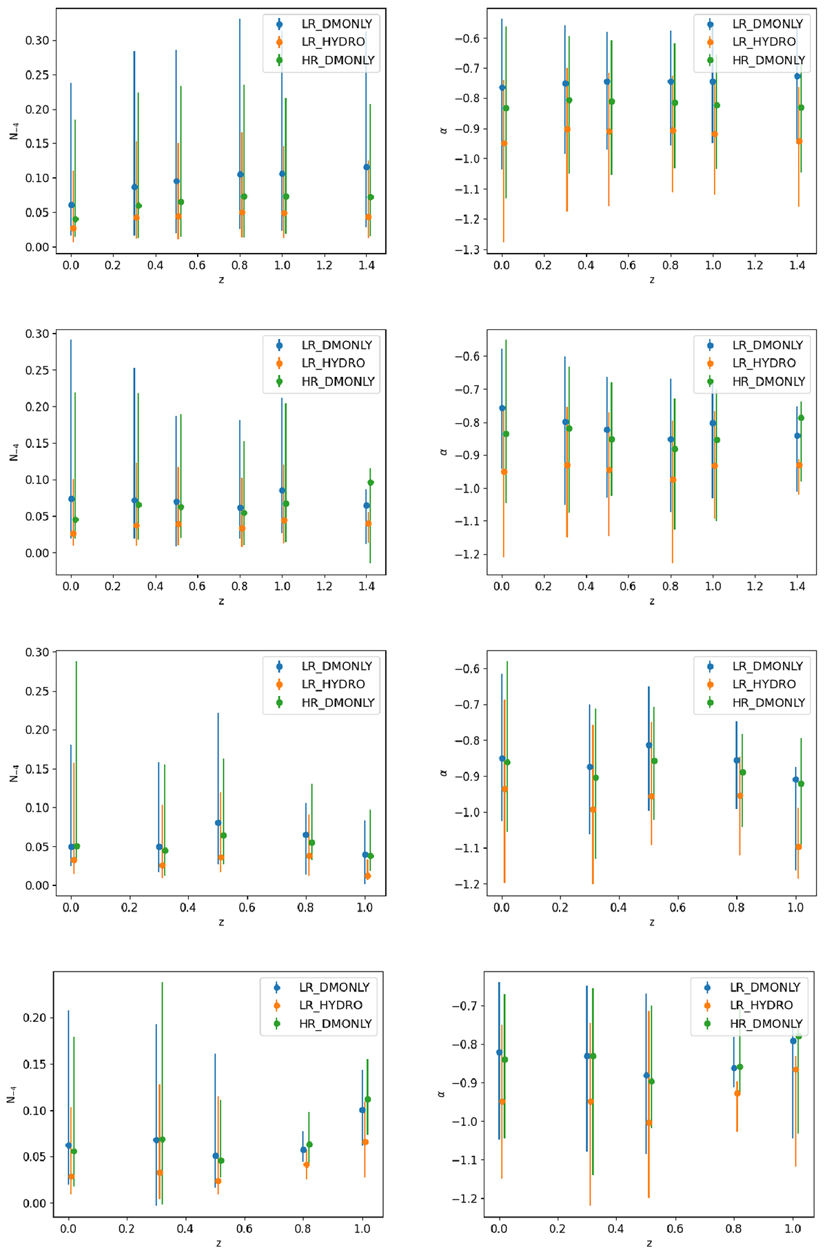
Fig. 4.

Download original image
Redshift and mass evolution of the parameters from the power-law fit of the 3D cumulative galaxy mass function. The left column represents the normalization N−4 and the right column the α parameter, for z = 0 up to z = 1.0. From top to bottom the results for the different cluster mass bins of Table 1 are presented.
Current usage metrics show cumulative count of Article Views (full-text article views including HTML views, PDF and ePub downloads, according to the available data) and Abstracts Views on Vision4Press platform.
Data correspond to usage on the plateform after 2015. The current usage metrics is available 48-96 hours after online publication and is updated daily on week days.
Initial download of the metrics may take a while.