Open Access
Fig. H.1

Download original image
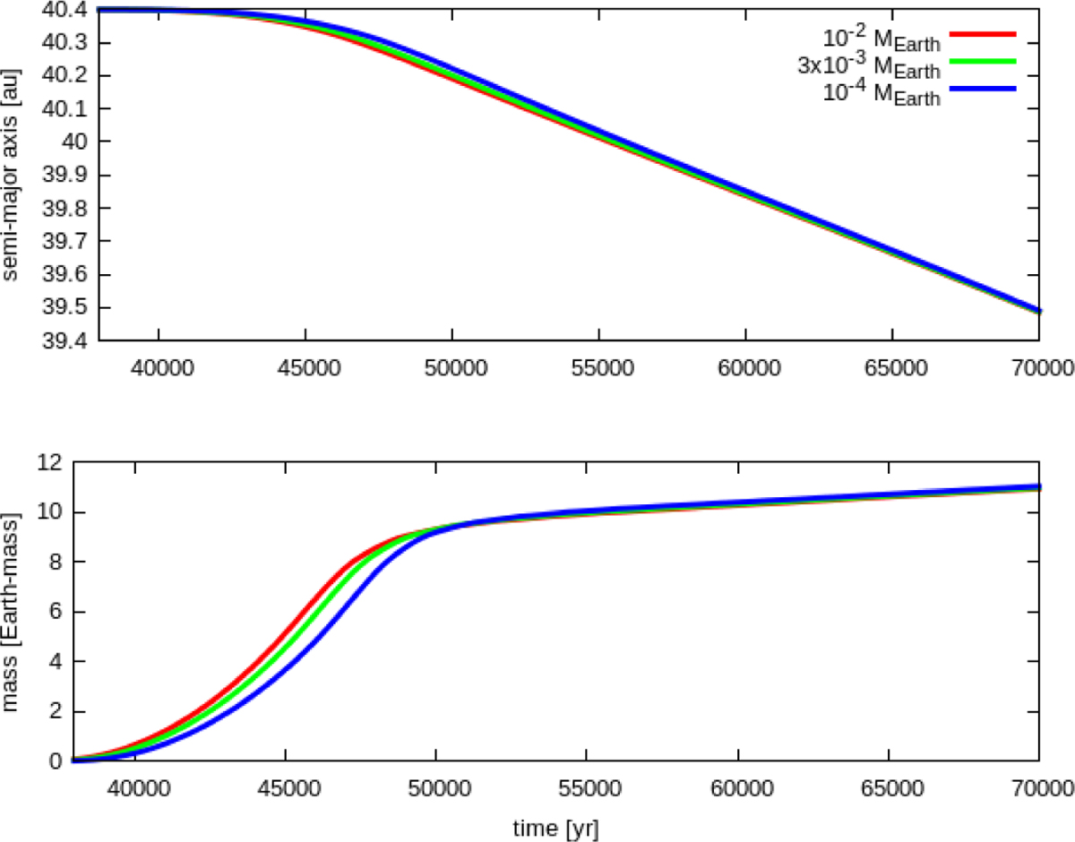
Migration (upper panel) and the mass growth (bottom panel) of the planet in the three simulations using three different initial masses; see the text for the details. The curves are coloured corresponding to the initial masses.
Current usage metrics show cumulative count of Article Views (full-text article views including HTML views, PDF and ePub downloads, according to the available data) and Abstracts Views on Vision4Press platform.
Data correspond to usage on the plateform after 2015. The current usage metrics is available 48-96 hours after online publication and is updated daily on week days.
Initial download of the metrics may take a while.