Open Access
Fig. 7

Download original image
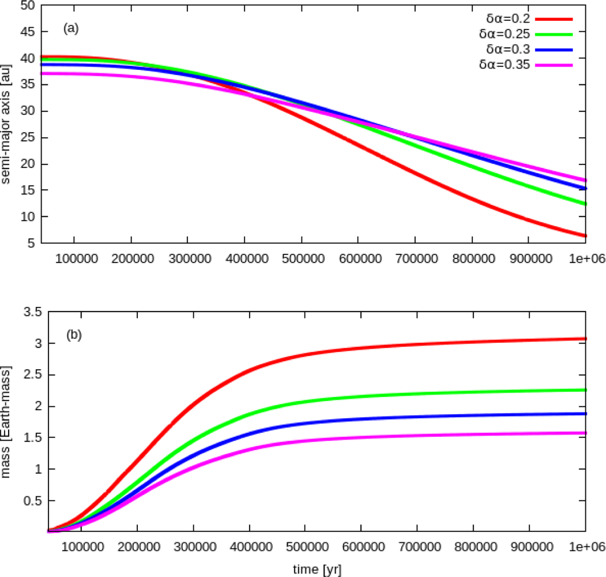
Inward migration (panel a) and mass growth of the planet due to pebble accretion (panel b) during the whole length of the numerical simulation for various values of δα. The evolution of the mass and the semi-major axis of the planet for each value of δα is shown with different colours.
Current usage metrics show cumulative count of Article Views (full-text article views including HTML views, PDF and ePub downloads, according to the available data) and Abstracts Views on Vision4Press platform.
Data correspond to usage on the plateform after 2015. The current usage metrics is available 48-96 hours after online publication and is updated daily on week days.
Initial download of the metrics may take a while.