Fig. 8.

Download original image
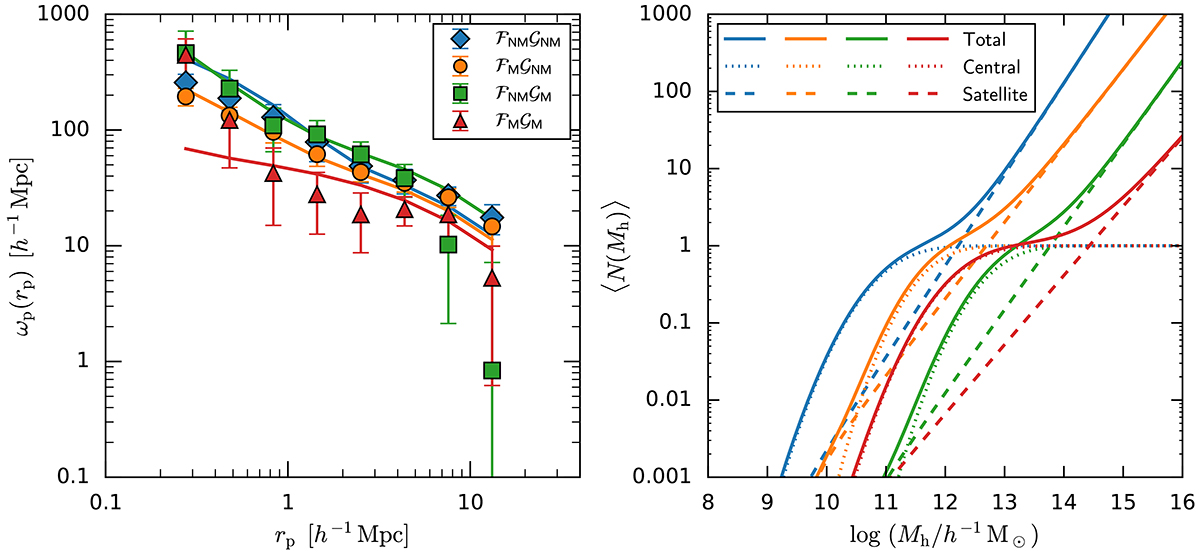
Projected 2pCFs with best-fitting HOD models (left panel) of the samples ℱNM𝒢NM (blue diamonds), ℱM𝒢NM (orange circles), ℱNM𝒢M (green squares), and ℱM𝒢M (red triangles). The error bars on the markers are the square root of the diagonals of the covariance matrix obtained from the jackknife resampling method. The right panel shows the corresponding total (solid), central (dotted), and satellite (dashed) halo occupation functions.
Current usage metrics show cumulative count of Article Views (full-text article views including HTML views, PDF and ePub downloads, according to the available data) and Abstracts Views on Vision4Press platform.
Data correspond to usage on the plateform after 2015. The current usage metrics is available 48-96 hours after online publication and is updated daily on week days.
Initial download of the metrics may take a while.