Open Access
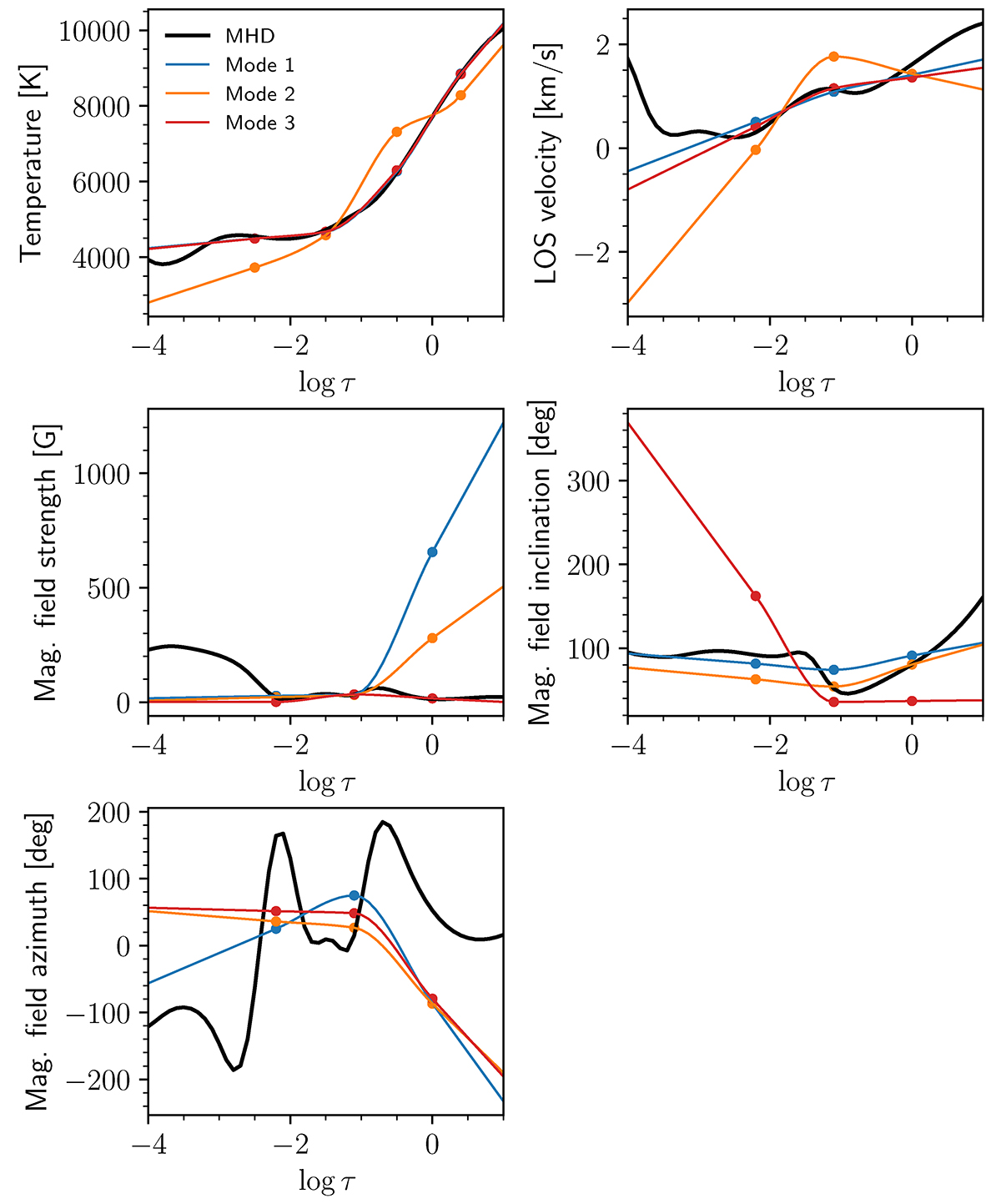
Fig. 4.

Download original image
Stratifications of various atmospheric parameters for a granule atmosphere. Curves with different colours represent the stratification of the original MHD simulation and different inversion modes (see legend in the top-left panel). Circles represent the node positions.
Current usage metrics show cumulative count of Article Views (full-text article views including HTML views, PDF and ePub downloads, according to the available data) and Abstracts Views on Vision4Press platform.
Data correspond to usage on the plateform after 2015. The current usage metrics is available 48-96 hours after online publication and is updated daily on week days.
Initial download of the metrics may take a while.