Fig. 5.

Download original image
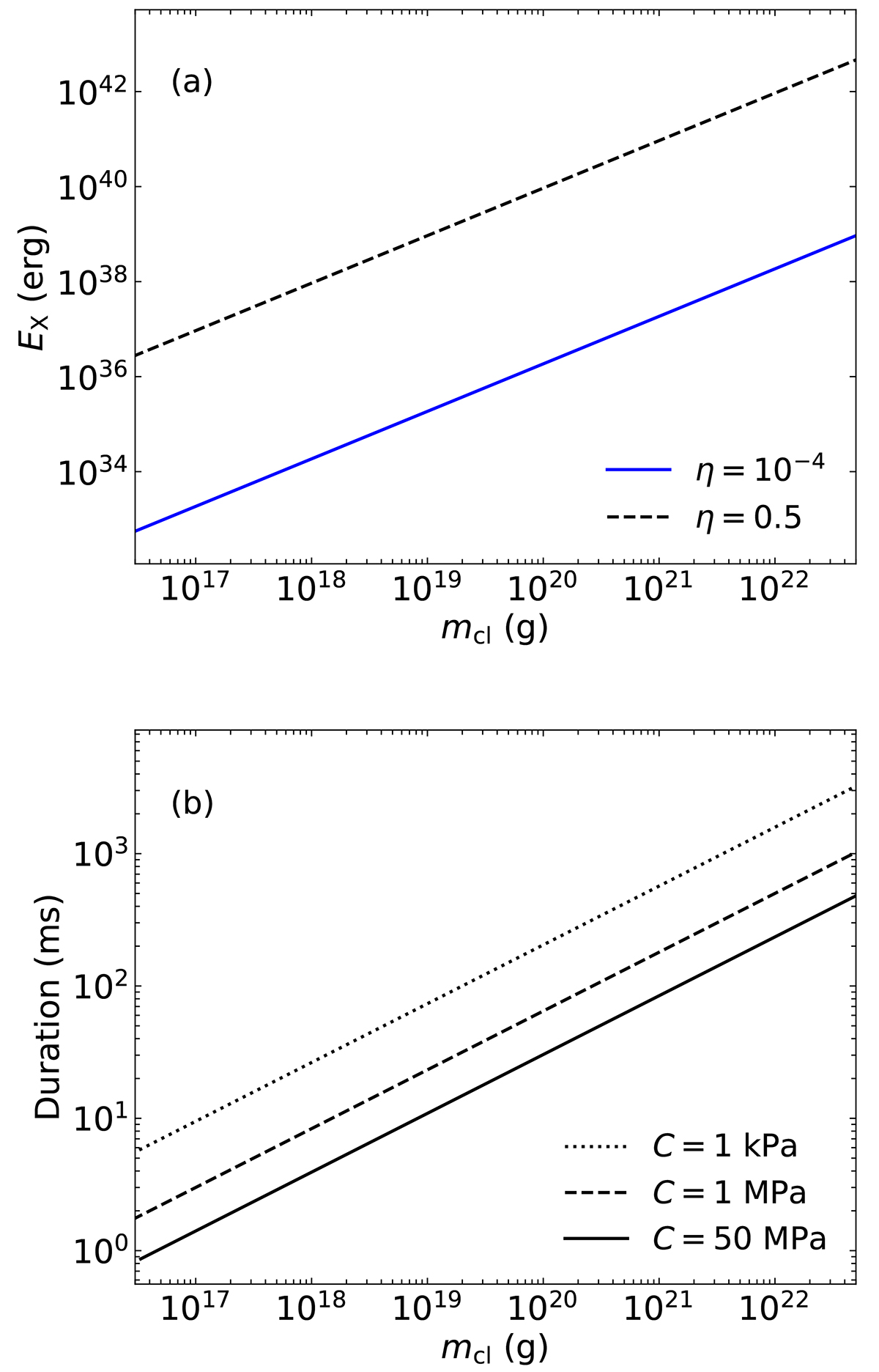
Energy (panel a) and duration (panel b) of X-ray bursts as a function of the clump mass. In panel a the dashed and solid lines correspond to an energy transforming efficiency of η = 0.5 and η = 10−4, respectively. In panel b the dotted and dashed lines represent the MgSO3 clumps with a cohesive strength of C = 1 kPa and C = 1 MPa, respectively. The solid line corresponds to iron clumps with C = 50 MPa.
Current usage metrics show cumulative count of Article Views (full-text article views including HTML views, PDF and ePub downloads, according to the available data) and Abstracts Views on Vision4Press platform.
Data correspond to usage on the plateform after 2015. The current usage metrics is available 48-96 hours after online publication and is updated daily on week days.
Initial download of the metrics may take a while.