Fig. 4.

Download original image
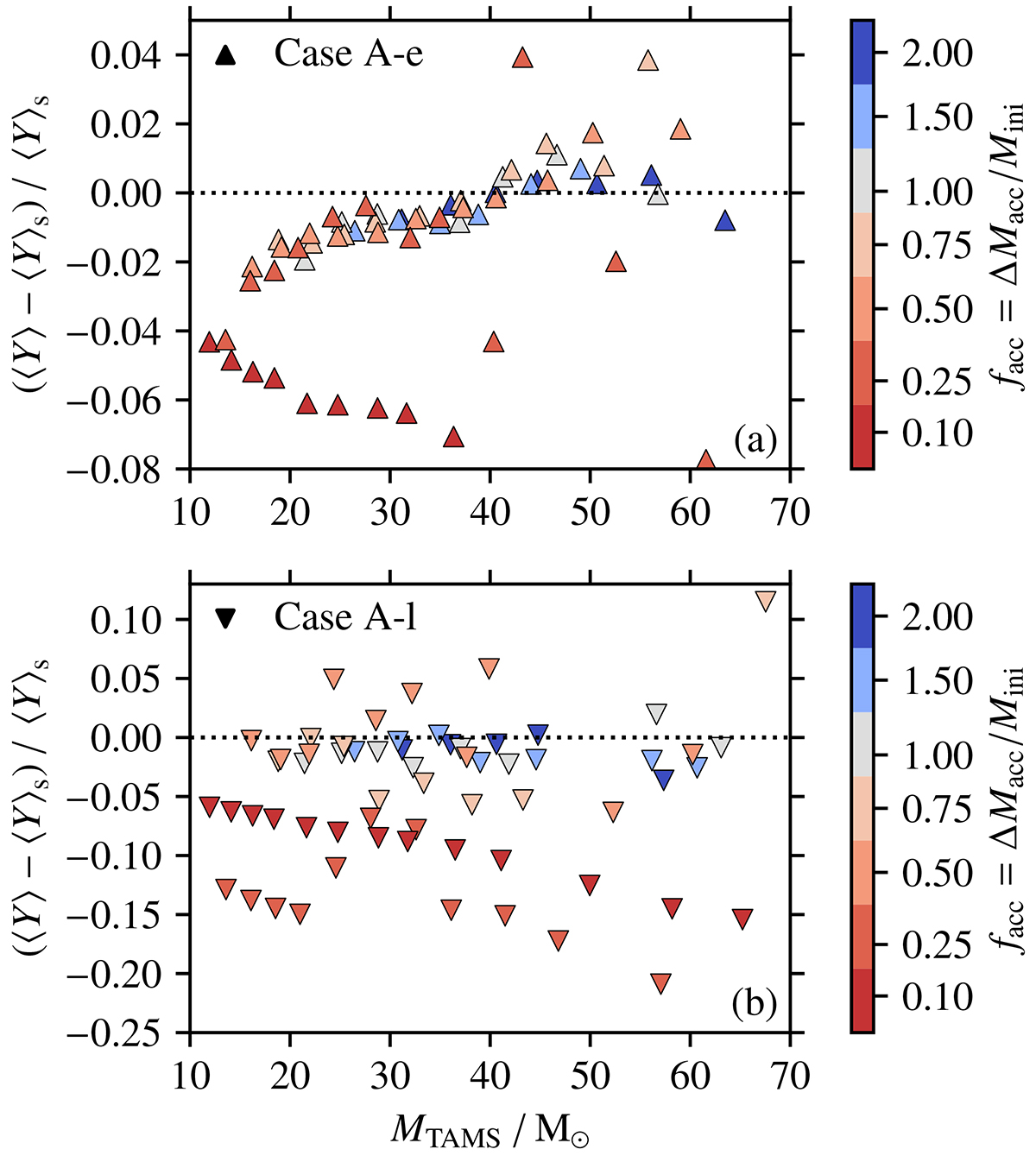
Rejuvenation of early (panel a) and late (panel b) Case A accretors. The rejuvenation is quantified as the difference of the average helium mass fraction ⟨Y⟩ of the accretors at the terminal-age main sequence (TAMS) relative to that of single stars. The relative differences are plotted as a function of mass at the TAMS, MTAMS. Negative differences mean that the accretors have burnt less hydrogen into helium compared to single stars, that is they have less massive convective cores. This is a sign that accretors did not (fully) adjust their structure to the new total mass after accretion, that is they did not (fully) rejuvenate.
Current usage metrics show cumulative count of Article Views (full-text article views including HTML views, PDF and ePub downloads, according to the available data) and Abstracts Views on Vision4Press platform.
Data correspond to usage on the plateform after 2015. The current usage metrics is available 48-96 hours after online publication and is updated daily on week days.
Initial download of the metrics may take a while.