Fig. 12

Download original image
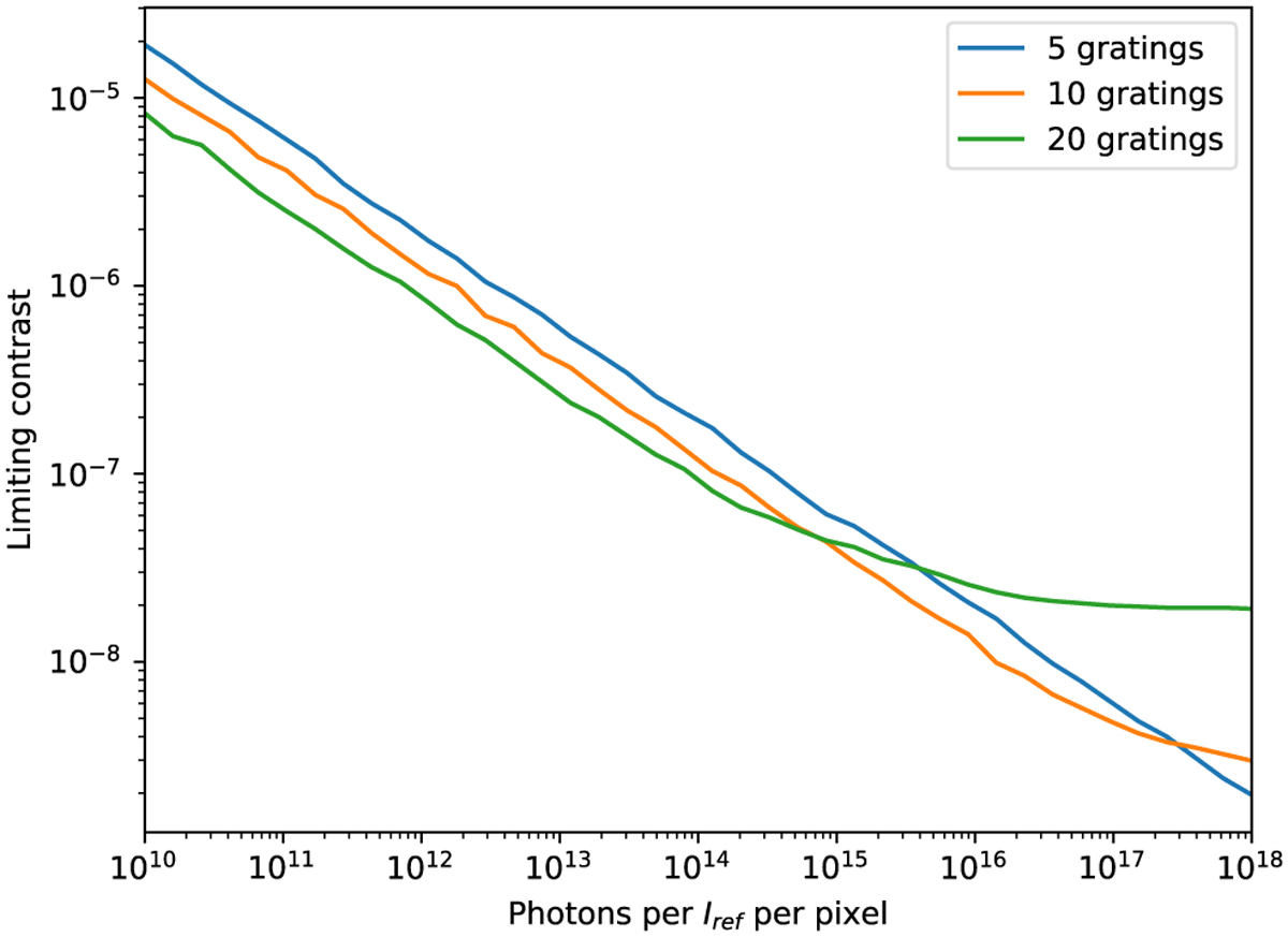
Limiting contrast (deepest contrast with a S /N > 5 planet reconstruction) as a function of photon count for various numbers of grating. The planet is at a distance of 4λ/D from the star. The reference intensity Iref is the maximum intensity found in a single pixel in the data cube for a single grating before the addition of photon noise. Each plotted point is the result of ten instances of photon noise being averaged.
Current usage metrics show cumulative count of Article Views (full-text article views including HTML views, PDF and ePub downloads, according to the available data) and Abstracts Views on Vision4Press platform.
Data correspond to usage on the plateform after 2015. The current usage metrics is available 48-96 hours after online publication and is updated daily on week days.
Initial download of the metrics may take a while.